





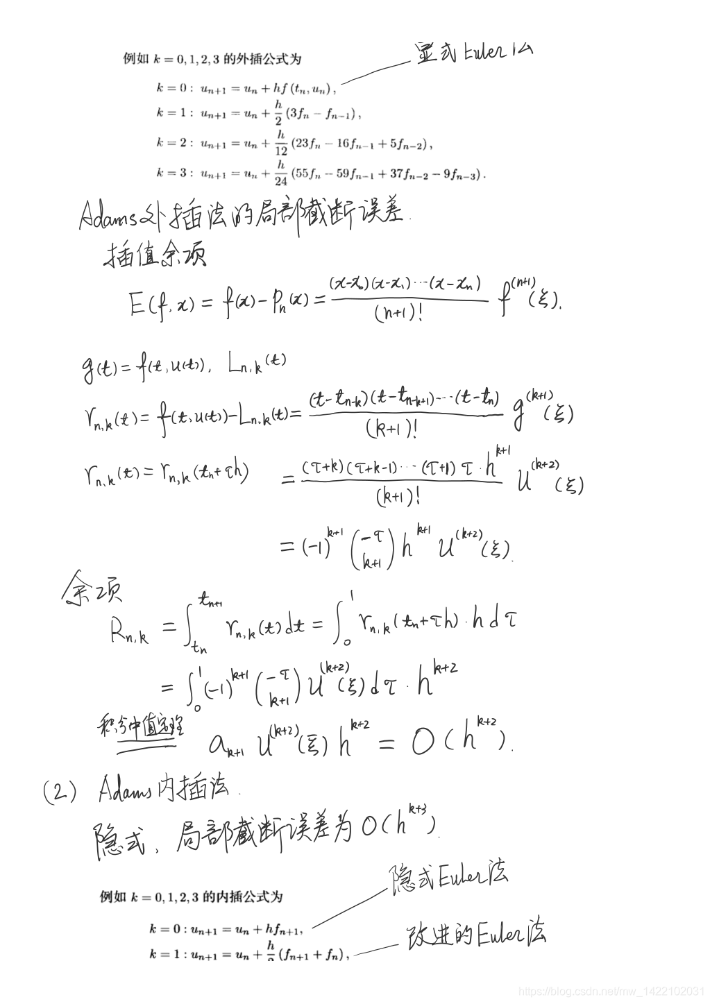
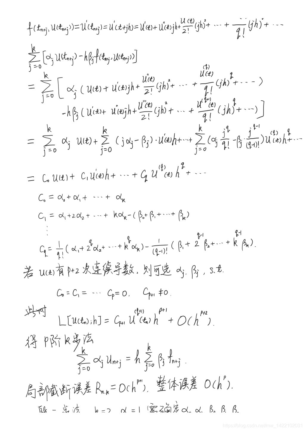
matlab 代码 :
function chap1_adams_method
% test the Adams interpolation method and the Adams extrapolation method for ODE IVP
% / u' = f(t,u),
% \ u(0) = u0.
% foundate = '2015-3-8';
% chgedate = '2020-04-22';
% by Zhang, Xuping
u0 = 1;
T = 2;
h = 0.1;
N = T/h;
t = 0:h:T;
solu = exact1(t);
f = @f1;
u_inter_2s = adams_inter_2steps(f,u0,t,h,N);
u_extra_2s = adams_extra_2steps(f,u0,t,h,N);
figure(1)
plot(t,u_inter_2s,'*',t,u_extra_2s,'o',t,solu,'r')
legend('Adams-inter-2s','Adams-extra-2s','Exact-soln')
u_inter_3s = adams_inter_3steps(f,u0,t,h,N);
u_extra_3s = adams_extra_3steps(f,u0,t,h,N);
figure(2)
plot(t,u_inter_3s,'*',t,u_extra_3s,'o',t,solu,'r')
legend('Adams-inter-3s','Adams-extra-3s','Exact-soln')
end
% ----------------------------- subroutines -------------------------------
function u = adams_inter_2steps(f,u0,t,h,N)
u = zeros(N+1,1);
u(1) = u0;
% u(2) = u(1) + h*f(t(1),u(1));
u(2) = exact1(1*h);
eps_in = 1e-6;
K_in = 6;
for n = 2:N
f_nm1 = f(t(n-1),u(n-1));
f_n = f(t(n),u(n));
s1 = u(n);
du = 1;
k = 1;
while abs(du)>eps_in & k<K_in
s2 = u(n) + h*( 5*f(t(n+1),s1) + 8*f_n - f_nm1 )/12;
du = s2 - s1;
s1 = s2;
k = k + 1;
end
u(n+1) = s2;
end
end
function u = adams_inter_3steps(f,u0,t,h,N)
u = zeros(N+1,1);
u(1) = u0;
% u(2) = u(1) + h*f
免责声明:本文系网络转载或改编,未找到原创作者,版权归原作者所有。如涉及版权,请联系删