使用下面的例子来进行 代码 展示:

向前欧拉法
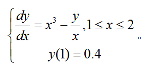
a = 1;b = 2;h = 0.1;n = (b-a)/h;x(1) = 1;y(1) = 0.4;
for i = 1:n
x(i+1) = x(i) + h;
y(i+1) = y(i) + h*(x(i)^3-y(i)/x(i));
end
想输出 x ,y的值,式子后面就不要加分号。

向后欧拉法
这个是一个隐 函数 ,先把隐函数转变成显函数,再进行计算
a = 1;b = 2;h = 0.1;n = (b-a)/h;x(1) = 1;y(1) = 0.4;
for i = 1:n
x(i+1) = x(i) + h;
y(i+1) = (y(i)*x(i+1<
免责声明:本文系网络转载或改编,未找到原创作者,版权归原作者所有。如涉及版权,请联系删