许可优化
许可优化
产品
产品
解决方案
解决方案
服务支持
服务支持
关于
关于
软件库
当前位置:服务支持 >  软件文章 >  MATLAB秦九韶算法:多项式求值实现代码

MATLAB秦九韶算法:多项式求值实现代码

阅读数 3
点赞 0
article_banner

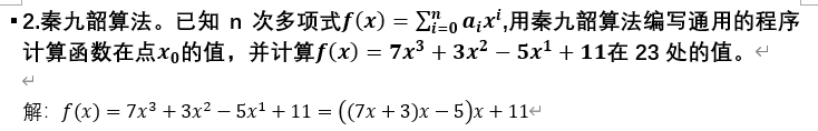
最近《矩阵与 数值分析 》实验作业写完了,真是太麻烦了,弄了我一个白天加两个晚上。不过终于在昨天晚上写完了,下面就把代码记录一下,供学弟学妹们“敬仰”。我发现csdn上的编辑器里没有matlab代码块,matlab不配吗?气抖冷~

在这里插入图片描述

   qinjiushao. m文件

function y=qinjiushao(A,x)    
    len = length(A);
    y=A(1);
    for i=1:1:len-1
        y=y*x+A(i+1);
    end

命令行窗口输入:

>> A=[7 3 -5 11];
x = 23;
qinjiushao(A,x)

免责声明:本文系网络转载或改编,未找到原创作者,版权归原作者所有。如涉及版权,请联系删


相关文章
技术文档
QR Code
微信扫一扫,欢迎咨询~
customer

online

联系我们
武汉格发信息技术有限公司
湖北省武汉市经开区科技园西路6号103孵化器
电话:155-2731-8020 座机:027-59821821
邮件:tanzw@gofarlic.com
Copyright © 2023 Gofarsoft Co.,Ltd. 保留所有权利
遇到许可问题?该如何解决!?
评估许可证实际采购量? 
不清楚软件许可证使用数据? 
收到软件厂商律师函!?  
想要少购买点许可证,节省费用? 
收到软件厂商侵权通告!?  
有正版license,但许可证不够用,需要新购? 
联系方式 board-phone 155-2731-8020
close1
预留信息,一起解决您的问题
* 姓名:
* 手机:

* 公司名称:

姓名不为空

姓名不为空

姓名不为空
手机不正确

手机不正确

手机不正确
公司不为空

公司不为空

公司不为空