恒温下的液体当内部压力较小时低于饱和蒸汽压,液体可能会气化形成空腔,这一过程称为空化cavitation。在这种过程中,空化区会发生非常陡峭的密度变化。

Fluent中提供了三种空化模型:
Singhal et al. model:适用多相流模型为mixture。这种空化模型需要使用TUI命令打开,TUI命令:solve/set/ expert
输入上面的TUI命令,在 控制台 弹出下面选项,其中Singhal et al. model选择yes

在Phase Interaction界面会出现Singhal-et-al Cavitation Model

Zwart-Gerber-Belamri model:多相流模型可选择 mixture 和Eulerian
Schnerr and Sauer model:默认的空化模型,多相流模型可选择 mixture 和Eulerian

特点1:系统必须包含液相和气相,液相和气相之间发生传质。在空化模型中,同时考虑了气泡的形成(蒸发)和坍塌(凝结)。
特点2:对于空化模型,Fluent定义从液体到蒸汽的传质为正值。由于fluent提供的空化 公式 按照这种方式定义传质的正负,因此空化模型的传质必须从液相到气相。
特点3:空化模型是基于Rayleigh-Plesset 方程,描述了液体中单个蒸汽气泡的生长。
特点4:Singhal et al.引入了不可凝气体,假设不可凝气体的质量分数是已知常数。Singhal et al模型要求主相为液体,次相为蒸汽,只适用于mixture模型;Singhal et al.模型只能用于单一的空化过程。
也就是说,当定义传质时,只有一个液体可以发生空化。这种液体可以是一种相,也可以是混合相中的一种物质。
特点5:Zwart-Gerber-Belamri模型和Schnerr and Sauer模型不考虑不可凝气体的影响,能够与Fluent中所有可用的湍流模型兼容。Singhal et al.模型与LES湍流模型不兼容。
特点6:基于密度求解器density-based不能使用空化模型
特点7:多相流模型使用Explicit VOF模型时,不推荐使用空化模型
特点8:当使用隐式VOF公式时,默认添加湍流效应引起的数值扩散。这种扩散会增强计算的稳定性,但会造成界面 精度 下降。
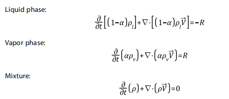
两相流连续方程

其中,源项R表示蒸气蒸发或冷凝的速率。空化理论的关键点就是给出相变率的表达式,不同的理论给出的R表达式不同。
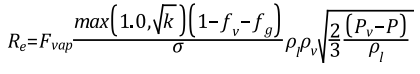
Singhal et al. 空化模型基于”full cavitation model”,提出了一个以蒸汽质量分数为输运方程中因变量的模型

其中,fv表示蒸气质量分数;fg表示不凝性气体的质量分数;Г为扩散系数;Re为蒸发速率,Rc为冷凝速率
如果压力小于饱和蒸汽压,则蒸发:

如果压力大于饱和蒸汽压,则冷凝:

其中,Fvap为蒸发系数,Fcond为冷凝系数,Fvap=0.02,Fcond=0.01
此模型需要设置不凝性气体的质量分数,即上面的参数fg

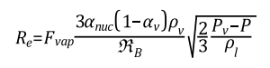
假设系统中所有的气泡具有相同的大小,空化率R可用气泡数密度和单个气泡的质量变化率相乘得到

经过代入推导可得到最终表达式:
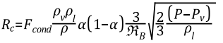
如果压力小于饱和蒸汽压,则蒸发:

如果压力大于饱和蒸汽压,则冷凝:

其中,
ℜB=1e-6,为气泡半径bubble radius
αnuc=5e-4,为成核位点体积分数nucleation site volume fraction
Fvap=50,为蒸发系数evaporation coefficient
Fcond=0.01,为冷凝系数 condensation coefficient
此模型设置如下:

Bubble Diameter:气泡直径,即ℜB的2倍
nucleation site volume fraction:成核位点体积分数,即αnuc=5e-4
evaporation coefficient:蒸发系数Fvap=50
condensation coefficient:冷凝系数Fcond=0.01
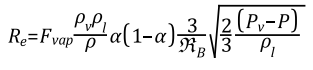
Schnerr and Sauer 提出的模型只需要确定气泡的数量密度,气体的参数如气泡的直径、成核位点体积分数可通过此模型自动推导出,不必设置。

空化率R表达式如下:
如果压力小于饱和蒸汽压,则蒸发:

如果压力大于饱和蒸汽压,则冷凝:

其中,
Fvap=1,为蒸发系数evaporation coefficient
Fcond=0.2,为冷凝系数 condensation coefficient
这两个值为模型的默认值,在模型设置里无法更改,想要更改需要使用TUI命令
修改冷凝系数TUI命令:
solve/set/multiphase-numerics/heat-mass-transfer/cavitation/schnerr-cond-coeff
修改蒸发系数TUI命令:
solve/set/multiphase-numerics/heat-mass-transfer/cavitation/schnerr-evap-coeff
使用以上命令,控制台会出现如下文本:

对于Schnerr-Sauer和Zwart-Gerber-Belamri模型,可以考虑湍流对于饱和压力的影响

也就是虽然我们设置了空化饱和压力,但是由于湍流的影响,这个压力值不一定准确,需要进行一定的修正。修正公式如下:

其中,
kl为湍动能;
coff为湍流系数,即上图设置中的Turbulent Coefficient;推荐值为0.39
a. 模型的选择
Zwart-Gerber-Belamri和Schnerr and Sauer 模型的稳定性更强,收敛速度更快,Fluent强烈推荐使用这两个模型。Singhal et al模型收敛性较差,不推荐使用。
b. 求解器的选择
Fluent中无论分离式求解器(SIMPLE, SIMPLEC, and PISO)还是耦合式求解器coupled 都适用空化模型。
耦合求解器更稳定,收敛速度更快,特别是对于旋转机械中的空化流动,如液体泵、诱导器、叶轮等,因此推荐使用耦合式求解器Coupled
对于Singhal模型,耦合求解器没有任何显著的优势,建议使用分离求解器。

c. 初始条件
对于Zwart-Gerber-Belamri和Schnerr and Sauer 模型,初始条件对收敛性影响不大,因此任何初始条件都可以
对于Singhal模型,由于收敛性不好,因此对初始条件比较敏感,Fluent建议初始化时,蒸汽分数设置为入口值。初始化压力设置为入口和出口之间的最高压力
d. 压力离散格式

推荐使用如下格式
PRESTO!
body force weighted
second order
而standard和linear尽量避免使用
以上案例的 cas 和dat文件均可以免费获取,需要的朋友,只需要点赞关注收藏一键三连后私信我即可哦
免责声明:本文系网络转载或改编,未找到原创作者,版权归原作者所有。如涉及版权,请联系删