在operating conditions界面,除了需要设置操作压力之外,大多数情况下还需要设置操作温度及操作密度。

当然还需要设置重力Gravity,当勾选Gravity之后,就需要设置重力加速度的大小和方向。虽然这个设置很简单,但是需要进行简单的说明。

首先,对于流体流动来说,什么时候需要考虑重力??
当流体流动打开了能量方程,流体密度随温度变化,此时密度的变化会引起流动,这个过程就是自然对流的过程,也就是说,如果你的流动自然对流影响比较大,那就必须要勾选重力。

自然对流的影响大小如何判断呢??
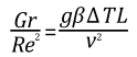
可以用格拉晓夫数Gr和雷诺数Re的平方的比值表示,当比值接近1或者大于1时就需要考虑自然对流的影响,需要勾选重力;如果比值很小,说明自然对流作用很轻,可以不勾选重力

其中是β体积变化系数,对于理想气体即等于绝对温度的倒数,g是重力加速度,L是特征尺度,ΔT为温差,分母是运动黏度的平方
只有当能量方程打开同时重力勾选时才会出现,和Boussinesq model有关

所谓的Boussinesq model实际上时一种对密度的近似假设。对于流体来说,流体密度一般是温度的函数,对于三大守恒方程,如果将密度作为温度的函数代入方程中,其收敛性会较差,收敛速度较慢。
而Boussinesq model认为,除动量方程中的浮力项外,其他方程都将密度作为常数求解,这样会大大加快收敛。那么浮力项中的密度如何改变呢??通过以下方程

其中,ρ0为流体密度(常数),T0为操作温度operating temperature,β体积变化系数,对于理想气体即等于绝对温度的倒数。ρ和T即为变化的密度和温度。
Boussinesq model有使用限制,当实际密度的变化很小,这种近似是准确的。定量的话,只要满足下式,就可使用Boussinesq model

注:
a. 公式 中ρ0为流体密度(常数),并不是operating density;而公式中T0为操作温度operating temperature
b. 要想使用Boussinesq model,还需要在 材料属性 界面,将流体密度设置为boussinesq才可以。
这里设置的密度很重要,即为上式中的ρ0,而Thermal Expansion Coefficient即为上式中的β

c. 即使密度不选择boussinesq,也可以设置Boussinesq Parameters,只不过没有意义,不会使用这里的值
只有勾选重力时才会显示

如果密度设置为boussinesq,这里的设置不会被使用。
如果密度没有设置为boussinesq,那么这里的设置才有意义。此时动量方程中的体积力为

这里的ρ0才是operating density,这里之所以会有这个操作密度,主要是考虑到收敛性,设置这个值,会加强收敛性。
注:
a. 对于 VOF 模型,为了提高计算精度,需要将operating density设置为密度较小一相的密度。

b. 如果有任一相是可压缩的,即流体密度设置为ideal或者real,那么operating density需要设置为0
以上 案例 的cas和dat文件均可以 免费 获取,需要的朋友,只需要点赞关注收藏一键三连后私信我即可哦
免责声明:本文系网络转载或改编,未找到原创作者,版权归原作者所有。如涉及版权,请联系删