许可优化
许可优化
产品
产品
解决方案
解决方案
服务支持
服务支持
关于
关于
软件库
当前位置:服务支持 >  软件文章 >  Fluent热对流理论:详细解析

Fluent热对流理论:详细解析

阅读数 1439
点赞 88
article_banner

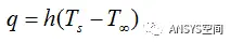
1.牛顿冷却公式

流体流过固体表面发生的热量交换称为对流换热。对流换热的基本公式为牛顿冷却公式,即

图 对流换热示意图

对流换计算的关键在于获得流体与固体表面间的传热系数。对流换热是流体得导热和对流两种基本传热方式共同作用的结果。斯坦顿数:Stanton number简介:描述强制对流的一个准数。与雷诺数、普朗特常数等类似。公式:St=α/(ρ*u*Cp)或 St=Nu/(Re*Pr)式中:α为对流传热系数,W/m2·K;ρ为流体密度,kg/m3;u为流体速度,m/s;Nu为努塞尔特准数,Re为雷诺数,Pr为普朗特准数(皆为无量纲的数值)。在流体的温度和流速等条件相同时,St数愈大,发生于流体与固体壁面之间的对流换热过程就愈强烈。

2.近壁处无滑移边界与换热微分方程

实验证明,无论对于层流还是湍流,无滑移边界都是适用的。因此由无滑移边界可知,在极薄的贴壁流体层中,热量只能以导热方式传递。根据传递热量相等,应用傅里叶和牛顿冷却定律,得

图近壁处速度分布示意图

由上式可知,对流换热系数与近壁流体温度有关,因此对流换热系数依赖于流体温度场得求解。为了求解流体温度,需要根据流体的三大定律:质量守恒,动量守恒和热流守恒求解,对于不可压缩流体,共有三个方向速度,压力和温度共5个未知量。理论是可以求解的,但是实际情况由于流体控制方程具有高度的非线性很难求解。对于Fluent使用基于雷诺应力或大涡模型进行数值求解,fluent通过计算的流动的基本参数,流速,温度,就可以计算得到换热系数。

作者:张老师   仿真秀优秀讲师


武汉格发信息技术有限公司,格发许可优化管理系统可以帮你评估贵公司软件许可的真实需求,再低成本合规性管理软件许可,帮助贵司提高软件投资回报率,为软件采购、使用提供科学决策依据。支持的软件有: CAD,CAE,PDM,PLM,Catia,Ugnx, AutoCAD, Pro/E, Solidworks ,Hyperworks, Protel,CAXA,OpenWorks LandMark,MATLAB,Enovia,Winchill,TeamCenter,MathCAD,Ansys, Abaqus,ls-dyna, Fluent, MSC,Bentley,License,UG,ug,catia,Dassault Systèmes,AutoDesk,Altair,autocad,PTC,SolidWorks,Ansys,Siemens PLM Software,Paradigm,Mathworks,Borland,AVEVA,ESRI,hP,Solibri,Progman,Leica,Cadence,IBM,SIMULIA,Citrix,Sybase,Schlumberger,MSC Products...

相关文章
QR Code
微信扫一扫,欢迎咨询~
customer

online

联系我们
武汉格发信息技术有限公司
湖北省武汉市经开区科技园西路6号103孵化器
电话:155-2731-8020 座机:027-59821821
邮件:tanzw@gofarlic.com
Copyright © 2023 Gofarsoft Co.,Ltd. 保留所有权利
遇到许可问题?该如何解决!?
评估许可证实际采购量? 
不清楚软件许可证使用数据? 
收到软件厂商律师函!?  
想要少购买点许可证,节省费用? 
收到软件厂商侵权通告!?  
有正版license,但许可证不够用,需要新购? 
联系方式 board-phone 155-2731-8020
close1
预留信息,一起解决您的问题
* 姓名:
* 手机:

* 公司名称:

姓名不为空

姓名不为空

姓名不为空
手机不正确

手机不正确

手机不正确
公司不为空

公司不为空

公司不为空