内聚力单元被广泛应用于模拟各种断裂行为。本文采用三轴度相关的内聚力本构模型模拟了材料的断裂失效行为。有效三轴度参数

其中

αc为双轴度比的临界值

其中

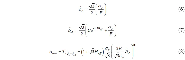
三轴度相关的内聚力模型本构由三部分组成:线弹性阶段,弹塑性阶段及软化阶段,如下式所示。

其中

根据上述本构,编写三轴度相关内聚力模型UMAT子程序,通过单胞计算得到的结果如图所示。

在进行真实试件计算时,需要将相邻实体单元的三轴度参数传递给内聚力单元,如图所示。

Abaqus中具体实施时,通过UVARM子程序获得当前实体单元的应力状态,并计算得到对应的三轴度,然后通过公共变量实现UVARM和UMAT之间的数据交换,将实体单元的相关参数传递给对应的Cohesive单元。计算得到的结果如下图所示。
免责声明:本文系网络转载或改编,未找到原创作者,版权归原作者所有。如涉及版权,请联系删
武汉格发信息技术有限公司,格发许可优化管理系统可以帮你评估贵公司软件许可的真实需求,再低成本合规性管理软件许可,帮助贵司提高软件投资回报率,为软件采购、使用提供科学决策依据。支持的软件有: CAD,CAE,PDM,PLM,Catia,Ugnx, AutoCAD, Pro/E, Solidworks ,Hyperworks, Protel,CAXA,OpenWorks LandMark,MATLAB,Enovia,Winchill,TeamCenter,MathCAD,Ansys, Abaqus,ls-dyna, Fluent, MSC,Bentley,License,UG,ug,catia,Dassault Systèmes,AutoDesk,Altair,autocad,PTC,SolidWorks,Ansys,Siemens PLM Software,Paradigm,Mathworks,Borland,AVEVA,ESRI,hP,Solibri,Progman,Leica,Cadence,IBM,SIMULIA,Citrix,Sybase,Schlumberger,MSC Products...