点击上方“AI算法与图像处理”,选择加"星标"或“置顶”
重磅干货,第一时间送达
大家好,今天给大家分享一篇人脸算法领域非常知名的paper,RetinaFace(RetinaFace: Single-stage Dense Face Localisation in the Wild)。同时也在文末附上开源项目的链接。 跟着我一起读这篇论文,希望论文的思路能够对你有所启发,如果觉得有用的,帮我分享出去,谢啦!
RetinaFace的主要贡献

尽管在不受控制的人脸检测方面已取得了长足的进步,但是在wilder数据集进行准确有效的面部定位仍然是一个公开的挑战。本文提出了一种鲁棒的single stage人脸检测器,名为RetinaFace,它利用 额外监督(extra-supervised)和自监督(self-supervised)结合的多任务学习(multi-task learning),对不同尺寸的人脸进行像素级定位。具体来说,我们在以下五个方面做出了贡献:
(1)我们在WILDER FACE数据集中手工标注了5个人脸关键点(Landmark),并在这个额外的监督信号的帮助下,观察到在hard face检测的显著改善。
(2)进一步添加自监督网络解码器(mesh decoder)分支,与已有的监督分支并行预测像素级的3D形状的人脸信息。
(3)在WIDER FACE的hard级别的测试集中,RetinaFace超出the state of the art 平均精度(AP) 1.1%(达到AP=91.4%)。
(4)在IJB-C测试集中,RetinaFace使state of the art 方法(Arcface)在人脸识别中的结果得到提升(FAR=1e6,TAR=85.59%)。
(5)采用轻量级的backbone 网络,RetinaFace能在单个CPU上实时运行VGA分辨率的图像。
FAR(False Accept Rate)表示错误接受的比例 TAR(True Accept Rate)表示正确接受的比例 VGA分辨率 320*240,目前主要应用于手机及便携播放器上
人脸自动定位对许多应用而言都是人脸图像分析的前提步骤,例如人脸属性分析(比如表情,年龄)和人脸识别。人脸定位的狭义定义可以参考传统的人脸检测,其目的在没有任何尺度和位置先验的条件估计人脸边界框。然而,本文提出的人脸定位的广义定义包括人脸检测、人脸对齐、像素化人脸解析(pixel-wise face parsing)和三维密集对应回归(3D dense correspondence regression)。这种密集的人脸定位为所有不同的尺度提供了精确的人脸位置信息。
受到一般目标检测方法的启发,即融合了深度学习的最新进展,人脸检测最近取得了显著进展。与一般的目标检测不同,人脸检测具有较小的比例变化(从1:1到1:1.5),但更大的尺度变化(从几个像素到数千像素)。目前most state-of-the-art 的方法集中于single-stage设计,该设计密集采样人脸在特征金字塔上的位置和尺度,与two-stage方法相比,表现出良好的性能和更快的速度。在此基础上,我们改进了single-stage人脸检测框架,并利用强监督和自监督信号的多任务损失,提出了一种most state-of-the-art的密集人脸定位方法。我们的想法如图1所示。

通常,人脸检测训练过程包含分类和框回归损失。chen等人观察到对齐人脸能为人脸分类提供更好的特征,建议在联合级联框架中结合人脸检测和对齐。由此启发,MTCNN和STN同时检测人脸和五个人脸landmark。由于训练数据的限制,JDA、MTCNN和STN还没有验证微小的人脸检测是否可以从额外的五个人脸Landmark的监督中获益。我们在本文中所要回答的问题之一是,能否利用由5个人脸关键点构成的额外监督信号,在WIDER FACE的hard测试集上推进目前最好的性能(90.3%)。
在Mask R-CNN中,通过添加一个用于预测目标Mask的分支,与现有的用于边界框识别和回归的分支并行,显著提高了检测性能。这证实了密集的像素级标注也有助于改进检测。遗憾的是,对于具有挑战性的人脸数据集WIDER FACE,无法进行密集的人脸标注(以更多的Landmark或语义分割)。由于有监督的信号不易获得,问题是我们能否应用无监督的方法进一步提高人脸检测。
在FAN中,提出了一种anchor-level注意力图(attention map)来改进遮挡人脸检测。然而,所提出的注意力图相当粗糙,不包含语义信息。近年来,自监督三维形态模型在wilder实现了很有前景的三维人脸建模。特别是Mesh decoder利用节点形状和纹理上的图卷积实现了超实时速度。然而, 应用mesh decoder到single-stage检测的主要挑战是:(1) 相机参数难以准确去地估计 , (2) 联合潜在形状和纹理表示是从单个特征向量(特征金字塔上的1*1 Conv)而不是RoI池化的特征预测,这意味着特征转换的风险。本文采与现有监督分支并行的用网格解码器(mesh decoder)通过自监督学习预测像素级的三维人脸形状。
综上所述,我们的主要贡献如下:
图像金字塔 vs .特征金字塔:滑动窗口范例,其中分类器应用于密集的图像网格,可以追溯到过去的几十年。Viola-Jones是里程碑式工作,它探索了级联结构,实时有效地从图像金字塔中剔除假人脸区域,使得这种尺度不变的人脸检测框架被广泛采用。尽管图像金字塔上的滑动窗口是主要的检测范式,随着特征金字塔的出现,多尺度特征图上的滑动anchor迅速主导了人脸检测。
Two-stage vs single-stage:目前的人脸检测方法继承了一般目标检测方法的一些成果,可分为两类:Two-stage方法(如Faster R-CNN)和single-stageTwo-stage(如SSD和RetinaNet)。Two-stage方法采用了一种具有高定位精度的“proposal与细化”机制。相比之下,single-stage方法密集采样人脸位置和尺度,导致训练过程中positive和negative样本极不平衡。为了解决这种不平衡,广泛采用了采样(Training region-based object detectors with online hard example mining)和重加权(re-weighting)方法。与two-stage方法相比,single-stage方法效率更高,召回率更高,但存在假阳性率更高和定位准确性降低的风险。
Context Modelling:提升模型的上下文模块推理能力以捕获微小人脸,SSH和PyramidBox在特征金字塔上用context modules扩大欧几里德网格的感受野。为了提高CNNs的非刚性变换建模能力,可变形卷积网络(deformable convolution network, DCN)采用了一种新的可变形层对几何变换进行建模。WILDER FACE 2018[冠军方案]表明,对于提高人脸检测的性能而言,刚性(expansion)和非刚性(deformation)上下文建模是互补和正交的(orthogonal)。

多任务学习:在目前广泛使用的方案是结合人脸检测和人脸对齐,对齐后的人脸形状为人脸分类提供了更好的特征。在Mask R-CNN中,通过添加一个并行分支来预测目标Mask,显著提高了检测性能。Densepose采用Mask-RCNN的结构,在每个选定区域内获得密集的part标签和坐标。然而,[20,1]中的dense回归分支是通过监督学习训练的。此外,dense分支是一个小的FCN应用于每个RoI预测像素到像素的密集映射。
3.1. Multi-task Loss
对于任何训练的anchor i,我最小化下面的多任务的 loss:

(1)人脸分类loss Lcls(pi,pi*),这里的pi是anchor i为人脸的预测概率,对于pi * 是1是positive anchor,0代表为negative anchor。分类loss Lcls是softmax loss 在二分类的情况(人脸/非人脸)。
(2)人脸框回归loss,Lbox(ti,ti*),这里的ti={tx,ty,tw,th},ti * ={tx *,ty *,tw * ,th *}分别代表positive anchor相关的预测框和真实框(ground-truth box)的坐标。我们按照 [16]对回归框目标(中心坐标,宽和高)进行归一化,使用Lbox(ti,ti *)=R(ti-ti *),这里R 是 Robust loss function(smooth-L1)(参考文献16中定义)
(3)人脸的landmark回归loss Lpts(li,li *),这里li={l x1,l y1,...l x5,l y5},li *={l x1 *,l y1 *,...l x5 *,l y5 *}代表预测的五个人脸关键点和基准点(ground-truth)。五个人脸关键点的回归也采用了基于anchor中心的目标归一化。
(4)Dense回归loss Lpixel (参考方程3)。loss调节参数 λ1-λ3 设置为0.25,0.1和0.01,这意味着在监督信号中,我们增加了边界框和关键点定位的重要性。
3.2. Dense Regression Branch
Mesh Decoder:我们直接使用[70,40]中的网格解码器(mesh convolution and mesh up-sampling) ,这是一种基于快速局部谱滤波的图卷积方法。为了实现进一步的加速,我们还使用了类似于[70]中方法的联合形状和纹理解码器,而不是只解码形状的。
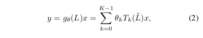
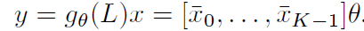
下面我们将简要解释图卷积的概念,并概述为什么它们可以用于快速解码。如图3(a)所示,二维卷积运算是欧几里德网格感受野内的“核加权邻域加和”。同样,图卷积也采用了图3(b)所示的相同概念。然而,邻域距离是通过计算连接两个顶点的最小边数来计算的。我们遵循[70]来定义一个着色的脸部网格(mesh)G=(ν, ε), 其中ν∈R ^(n*6) 是一组包含联合形状和纹理信息的人脸顶点集合, ε∈{0,1}^(n * n)是一个稀疏邻接矩阵,它编码了顶点之间的连接状态。图拉普拉斯行列式定义为 L = D - ε ∈R ^(n * n),D ∈ R ^(n * n)其中是一个对角矩阵 。

遵循[10,40,70 ], 图卷积的内核
可以表示为K 项的递归切比雪夫(Chebyshev)多项式

这里θ ∈ R^K 是一个切比雪夫系数向量,Tk∈ R^(n * n)是在缩放的拉普拉斯中(L~)中评估K项的切比雪夫多项式。
定义: 

循环计算


其中
,
。整个滤波操作非常有效,包括 K 个稀疏矩阵-向量乘法和一个密集矩阵-向量乘法 

其中 W和H分别表示anchor crop I*i,j的宽度和高度。
4.1. Dataset
WIDER FACE数据集包括32203幅图像和393703个人脸边界框,在尺度、姿态、表情、遮挡和光照方面具有高度差异性。通过随机抽取61个场景类别,将WIDER FACE数据集分为训练(40%)、验证(10%)和测试(50%)子集。基于EdgeBox的检测率,通过逐步合并困难样本来定义三个难度等级(Easy、Medium和Hard)。
额外的标注:见图4和表1,我们定义五个级别的脸图像质量(根据在人脸上的难度去标注Landmark)并在WIDER FACE的训练和验证子集上标注五个人脸Landmark(即眼中心,鼻子和嘴角)。我们总共在训练集上标注了84.6k个人脸,在验证集上标注了18.5k个人脸。


4.2. Implementation details
特征金字塔:RetinaFace采用从P2到P6的特征金字塔层,其中P2到P5通过使用自顶向下和横向连接(如[28,29])计算相应的ResNet残差阶段(C2到C5)的输出。P6是在C5处通过一个步长2的3x3卷积计算得到到。C1-C5是在ImageNet-11k数据集上预先训练好的ResNet-152[21]分类网络,P6是用“Xavier”方法[17]随机初始化的。
上下文模块:受 SSH [36] 和 PyramidBox [49]启发, 我们 还在五个特征金字塔层应用单独的上下文模块来提高 感受野并增加刚性上下文建模的能力。从2018年 WIDER Face 冠军方案中受到的启发, 我们也在横向连接和使用可变形卷积网络(DCN)的上下文模块中替换所有 3x3的卷积,进一步加强非刚性的上下文建模能力。
Loss Head:**对于negative acnhors,只应用分类损失。对于positive anchors,计算了多任务损失。我们使用 一 个跨越不同特征图,
,n∈{2,...6}的共享loss head (1x1 conv);对于网格解码器(mesh decoder),我们采用了预训练模型,这是一个很小的计算开销,允许有效的推理。
Anchor 设置:如表2所示,我们在特性金字塔层(从P2到P6)上使用特定于尺度的anchor,类似[56]。在这里,P2被设计成通过平铺小anchor来捕捉微小的人脸,这样做的代价是花费更多的计算时间和更多的误报风险。我们将scale step设置为2^(1/3),aspect ratio设置为1:1。输入图像大小为 640*640 , anchors可以 覆盖 从16x16 到 406x406的特征金字塔层。总共有102300个anchors,其中75%来自P2。

在训练过程中,当IoU大于0.5时,anchors匹配到ground-truth box,当IoU小于0.3时匹配到background。不匹配的anchor在训练中被忽略。由于大多数anchor(> 99%)在匹配步骤后为负,我们采用标准OHEM来缓解正、负训练样本之间的显著不平衡。更具体地说,我们根据损失值对负锚进行排序,并选择损失最大的anchors,这样负样本和正样本之间的比例至少为3:1。
数据增强:由于WIDER FACE训练集中大约 有 20% 的小人脸 , 我们 遵循 [68, 49 ) 并从原始图像随机crop方形patches并调整这些 patches到 640*640 产生更大的训练人脸。更具体地说,在原始图像的短边[0.3,1]之间随机裁剪正方形patches。对于crop边界上的人脸,如果人脸框的中心在crop patches内,则保持人脸框的重叠部分。除了随机裁剪,我们还通过0.5概率的随机水平翻转和光度颜色蒸馏来增加训练数据[68]。
训练细节:我们早四个 NVIDIA Tesla P40 (24GB) GPUs上使用 SGD 优化器 (momentum为0.9, 权重衰减为0.0005, batch size为8*4 )训练 RetinaFace 。学习速率从10e-3,在5个epoch后上升到10e-2,然后在第55和第68个epochs时除以10。训练过程在第80个epochs结束。
测试细节:对于WIDER FACE的测试,我们遵循[36,68]的标准做法,采用flip以及多尺度(图像的短边在[500, 800, 1100, 1400, 1700])策略。使用IoU阈值为0.4,将Box voting[15]应用于预测的人脸boxes的并集。
4.3. Ablation Study
省略
4.4. Face box Accuracy
RetinaFace与其他24个stage-of-the-art的人脸检测算法对比。RetinaFace在所有的验证集和测试集都达到的最好的AP,在验证集上的AP是96.9%(easy),96.1%(Medium)和91.8%(hard)。在测试集的AP是96.3%,95.6%,91.4%.相比与当前最好的方法(Improved selective refinement network for face detection)在困难的数据集(包含大量的小人脸)的AP对比(91.4% vs 90.3%)

在图6中,我们展示了在一张密集人脸自拍的定性结果。RetinaFace在报告的1,151张面孔中成功找到约900张脸(阈值为0.5)。除了精确的边界框外,在姿势,遮挡和分辨率的变化下利用RetinaFace的预测五个人脸关键点也是非常强大。
即使在遮挡严重的条件下出现密集面部定位失败的情况下,但在一些清晰而大的面部上的密集回归结果还是不错的,甚至对表情变化大也能检测出来。

4.5. Five Facial Landmark Accuracy
RetinaFace与MTCNN在五个人脸关键点定位上的定量比较。

4.6. Dense Facial Landmark Accuracy
我们评估了AFLW2000-3D数据集上密集人脸关键点定位的准确性[75],该数据集考虑(1)具有2D投影坐标的68个关键点和(2)具有3D坐标的所有关键点。

4.7. Face Recognition Accuracy
表4,我们对比了广泛使用的MTCNN和推荐的RetinaFace上人脸检测和对齐对深度人脸识别(即ArcFace)的影响。
这表明了(1)人脸检测和对准会严重影响人脸识别性能,并且(2)对于人脸识别应用,RetinaFace比MTCNN具有更强的基准。

在图9中,我们在每个图例的末尾显示了IJB-C数据集上的ROC曲线以及FAR = 1e-6的TAR。我们采用两种技巧(即翻转测试和人脸检测得分来权衡模板中的样本),以逐步提高人脸识别的准确性。

4.8. Inference Efficiency
RetinaFace进行人脸定位,除了使用ResNet-152(262MB,AP 91.8% 在WIDER FACE hard set)的重模型外,还有MobileNet-0.25(1MB,AP78.25 在WIDER FACE hard set)的轻模型。

我们研究了具有挑战性的问题,即同时进行密集定位和图像中任意比例尺的人脸对齐,并据我们所知,我们是第一个single-stage解决方案(RetinaFace)。在当前最具挑战性的人脸检测基准测试中,我们的解决方案优于state of the art的方法。此外,将RetinaFace与state-of-the-art的实践相结合进行人脸识别后,显然可以提高准确性。数据和模型已公开提供,以促进对该主题的进一步研究。
END
参考文献:
https://blog.csdn.net/weixin_40671425/article/details/97804981
论文地址:https://arxiv.org/pdf/1905.00641.pdf
源码地址:(MXNet实现)https://github.com/deepinsight/insightface/tree/master/RetinaFace
Pytorch实现:https://github.com/biubug6/Pytorch_Retinaface
caffe实现:https://github.com/wzj5133329/retinaface_caffe
人脸识别中的评价指标:https://blog.csdn.net/liuweiyuxiang/article/details/81259492
切比雪夫https://zhuanlan.zhihu.com/p/49197590
免责声明:本文系网络转载或改编,未找到原创作者,版权归原作者所有。如涉及版权,请联系删