许可优化
许可优化
产品
产品
解决方案
解决方案
服务支持
服务支持
关于
关于
软件库
当前位置:服务支持 >  软件文章 >  水平同心圆套管自然对流换热问题:ANSYS Fluent仿真教程

水平同心圆套管自然对流换热问题:ANSYS Fluent仿真教程

阅读数 1
点赞 0
article_banner

一、问题的数理模型

1.1 物理问题描述

一个形状如下图所示的同心圆套管,两圆内外径分别为17.8mm,46.25mm(比为2.6),内部流体为不可压缩理想气体,试求其对流换热问题。

内圆:固定速度为0,固定温度 。

圆的中心垂线:对称边界。

给定物理参数如下:


动力粘滞系数2.081\times 10^{-5}kg/(m\cdot s)
比热容1008 J/(kg\cdot K )
热传导率0.02967 W/(m\cdot K)

1.2 控制 方程

对于上述一个二维稳态对流换热问题,有如下公式

  • 质量连续方程

考虑一个二维流体区域,它的质量守恒可以描述为:

\frac{\partial \rho}{\partial t} + \frac{\partial (\rho u)}{\partial x} + \frac{\partial (\rho v)}{\partial y} = 0

其中,ρ表示流体密度,u和v分别表示流体在x和y方向的速度分量。由于流体是不可压缩,密度可以视为常数,因此上式简化为:

\frac{\partial}{\partial x}(\rho u) +\frac{\partial}{\partial y}(\rho v)=0

这是质量连续方程,它表示了在稳态流动中,质量在流体中的守恒。

  • 动量守恒方程

二维流体的动量守恒可以描述为:

\frac{\partial (\rho u)}{\partial t}+\frac{\partial}{\partial x}(\rho u u) +\frac{\partial}{\partial y}(\rho v u)=-\frac{\partial p}{\partial x}+\frac{\partial}{\partial x}(\mu\frac{\partial u}{\partial x})+\frac{\partial}{\partial y}(\mu\frac{\partial u}{\partial y})

其中,\mu是动力粘度,p为流体压强。这两个方程分别描述了流体在x和y方向的动量守恒,其中右侧的项表示了压力和黏性的贡献。

如果假设流体是不可压缩的,则可以将密度视为常数,同时可以将上述动量守恒方程简化为:

\frac{\partial}{\partial x}(\rho u u) +\frac{\partial}{\partial y}(\rho v u)=-\frac{\partial p}{\partial x}+\frac{\partial}{\partial x}(\mu\frac{\partial u}{\partial x})+\frac{\partial}{\partial y}(\mu\frac{\partial u}{\partial y})

\frac{\partial}{\partial x}(\rho u v) +\frac{\partial}{\partial y}(\rho v v)=-\frac{\partial p}{\partial y}+\frac{\partial}{\partial x}(\mu\frac{\partial v}{\partial x})+\frac{\partial}{\partial y}(\mu\frac{\partial v}{\partial y})

  • 能量守恒方程:

\frac{\partial}{\partial x}(\rho u C_p T)+\frac{\partial}{\partial x}(\rho v C_p T)=\frac{\partial}{\partial x}(k \frac{\partial T}{\partial x})+\frac{\partial}{\partial y}(k \frac{\partial T}{\partial y})

其中,T为流体温度,k为热传导系数,Cp为比热容。

  • 理想气体状态方程:

p=\rho \frac{R_0}{w} T

其中,Cp是比热容,R0为通用气体常数,w为理想气体分子量,\mu表示动力粘滞系数。

二、Fluent模拟

1.1 网格划分

在Fluent中把同心圆管建模出来,采用映射网格划分,网格数量为3210,结果如下:

1.2 求解设置

对于自然对流问题,格拉晓夫数小于10^(-7)可按照层流问题计算,因此这是一个二维稳态层流流动问题。求解器选择Fluent中的Pressure-Based求解器,是基于压力法的求解器,使用的是压力修正算法,求解的控制方程是标量形式的,擅长求解不可压缩流体。方程离散格式设置中,对流项的离散选取二阶迎风离散格式,扩散项的离散选择基于单元体的最小二乘法插值,压力项选取二阶离散格式。求解残差值设置为1e-6。

三、计算结果及讨论

对该问题求解情况如下:

温度云图与经典数值模拟结果的对比:

           

算例中的数值解与 实验 结果——下截面温度分布:

本次Fluent模拟数值解——下截面处温度分布:

算例中的数值解与实验结果——上截面温度分布:

本次Fluent模拟数值解——上截面处温度分布:

四、讨论(不同离散格式对结果的影响)

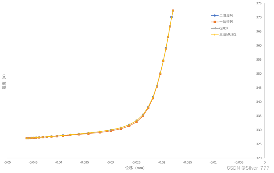
本次模拟采取了四种对流项离散格式分别对改算例进行模拟:一阶迎风、二阶迎风、QUICK、三阶MUSCL,以下是用这四种离散格式计算得到的下界面处温度分布。

可以看出只有一阶迎风与其他格式有所细微的不同,二阶迎风、QUICK、三阶MUSCL计算得到的结果基本一致,在不浪费算力的情况下,应该选择二阶迎风离散格式。

参考文献

[1] T.H. Kuehn, R.J. Goldstein, “An Experimental Study of Natural Convection Heat Transfer in Concentric and Eccentric Horizontal Cylindrical Annuli”, Journal of Heat Transfer, Vol 100, pp. 635-640, 1978.

[2] 郭宽良, 陈志坚, 李昌烽, 左然:《高等传热和流动问题的数值计算》, 江苏大学出版社, 2012.

[3] 姜瑜, 郭宽良, 葛新石. 具有添加材料的水平同心套管内自然对流的研究. 工程热物理学报,1985(04):370-372+405-406.


免责声明:本文系网络转载或改编,未找到原创作者,版权归原作者所有。如涉及版权,请联系删

相关文章
技术文档
QR Code
微信扫一扫,欢迎咨询~
customer

online

联系我们
武汉格发信息技术有限公司
湖北省武汉市经开区科技园西路6号103孵化器
电话:155-2731-8020 座机:027-59821821
邮件:tanzw@gofarlic.com
Copyright © 2023 Gofarsoft Co.,Ltd. 保留所有权利
遇到许可问题?该如何解决!?
评估许可证实际采购量? 
不清楚软件许可证使用数据? 
收到软件厂商律师函!?  
想要少购买点许可证,节省费用? 
收到软件厂商侵权通告!?  
有正版license,但许可证不够用,需要新购? 
联系方式 board-phone 155-2731-8020
close1
预留信息,一起解决您的问题
* 姓名:
* 手机:

* 公司名称:

姓名不为空

姓名不为空

姓名不为空
手机不正确

手机不正确

手机不正确
公司不为空

公司不为空

公司不为空