采用肘节型的黏滞阻尼器位移放大系数和耗能效果探讨
黏滞阻尼器是由缸体、活塞、黏滞材料(常采用二甲基硅油)等部分组成,利用黏滞材料运动时产生黏滞阻尼耗散能量的减震装置。
01不同肘节型安装方式的黏滞阻尼器位移放大系数?
- 肘节型安装
当黏滞阻尼器与肘节钢构呈90度时,分上肘节系统(Upper Toggle System)、 下肘节系统(Lower Toggle System )和反向肘节系统(Reverse Toggle System)。为便于后续表达,命名为U-1、L-1、R-1。
.png)
其三种系统 简化后的 位移放大系数 如下所示:
.png)
.png)
但值得注意的是,对于在层间安装肘节型黏滞阻尼器,该三种方式会增大梁的受力,是不利的,梁的变形会降低黏滞阻尼器的耗能效果。为此,将黏滞阻尼器置于梁柱节点进行安装。
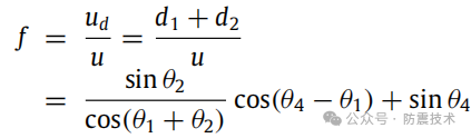
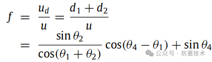
上肘节系统( Upper Toggle System) 几何关系如下图所示。 为便于后续表达, 命名为 U -2 。
.png)
位移放大系数:
.png)
下肘节系统( Lower Toggle System ) 几何关系 如下图所示。 为便于后续表达, 命名为 L -2 。
.png)
位移放大系数:
.png)
02基于Matlab的位移放大系数直观表示?
如需要完整MATLAB程序,欢迎关注公众号《防震技术》,后台留言发送0219获取。
U-1
位移放大系数理论公式:
.png)
位移放大系数与角度的关系如下图所示。可见,当θ1和θ2之和接近90°时,位移放大系数趋于无穷大,即图形中存在的竖向直线所示。此时并非指黏滞阻尼器实际耗能效果最佳,只是其受变形的影响,其耗能效果变化明显,实际工程常采用位移放大系数为2~5的角度配置。
.jpg)
程序如下图所示:
.png)
L-1
位移放大系数理论公式:
.jpg)
位移放大系数与角度的关系如下图所示 。
.jpg)
程序如下图所示:
U-2
位移放大系数理论公式:
.png)
位移放大系数与角度的关系如下图所示 。
.jpg)
程序如下图所示:
.png)
L-2
位移放大系数理论公式:
.png)
位移放大系数与角度的关系如下图所示 。
.jpg)
程序如下图所示:
.png)
文中仅展示部分肘节型角度配置的案例,具体可根据实际项目进行修改指定程序的各个角度值,如需要完整程序,欢迎关注公众号《防震技术》,后台留言发送0219获取。
参考文献
- R.Zhang, H.He. Theoretical analysis and experimental research on toggle-brace-damper system considering different installation modes. Sharif University of Technology.
- Michael C. Constantinou. Toggle-Brace-Damper seismic energy dissipation systens.
往期内容
- 【01 黏滞阻尼器减震设计篇】建筑消能减震技术规程 JGJ 297-2013应该注意的那些点
- 【划重点与简析】建筑隔震设计标准(GB/T 51408-2021)
- 黏滞阻尼器不同安装方式的适用性及位移放大系数推导(第1篇)- 肘节型
【02】黏滞阻尼器能否采用对角支撑的安装形式?
文章发布24h后可联系小编开通转载权限,转载须开头注明来源:防震技术,感谢您的理解!
微信号|防震技术
期待您的关注
免责声明:文章有部分内容来源不详,
如有侵权,请联系我们,我们会第一时间处理。
点“在看”给我一个小心心