基于多目标遗传算法的IEEE14节点系统分布式电源选址定容matlab程序
摘 要: 为更好地 解决 分布式电源选址定容问题,提出一种改进的多目标遗传算法。之后,考虑投资成本、网损以及电压稳定性三因素建立了一个三目标的数学模型,并采用上述多目标遗传算法对模型求解。最后利用 IEEE-14节点系统仿真来验证所提算法在分布式电源选址定容方面的有效性。
关键词: 分布式电源; 选址定容; 多目遗传算法
摘 要: 为更好地解决分布式电源选址定容问题,提出一种改进的多目标遗传算法。之后,考虑投资成本、网损以及电压稳定性三因素建立了一个三目标的数学模型,并采用上述多目标遗传算法对模型求解。最后利用 IEEE-14节点系统仿真来验证所提算法在分布式电源选址定容方面的有效性。
关键词: 分布式电源; 选址定容; 多目遗传算法
1 含有分布式电源的配电网结构
分布式电源接入 配电网前后的情况如图 1、图 2所示。


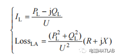
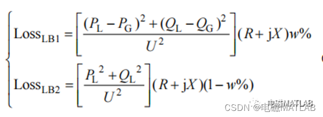
图中,R+jX 表示线路总阻抗;w 表示 DG 接入配电网后距离配电所端的距离占线路总长度的 w%; IL 、 IS 和 Id 分别代表负荷端电流、配电所端注入电流、分布式电源注入电流;设 PL、QL 分别代表负荷端有功功率和无功功率;U 表示负荷端电压;PG、QG分别代表 DG 端有功功率和无功功率;LossLA、LossLB 分别表示图 1 和图 2 中的网络损耗。
当不考虑 DG 时,有
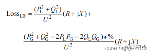
考虑到 DG 的注入功率时,配电网网络损耗可划分为两部分:①SUB-DG 之间线路损耗;②DG-load 之间线路损耗。可推导出
因此整个网络损耗为
分布式电源接入前后的网络损耗变化可以由以上推导出
可见,分布式电源接入后与接入前对网络损耗的影响主要取决于配电所端和分布式电源端功率的大小。
2 含 DG 的配电网优化配置模型2.1 目标函数
( 1) 投资与运行成本
( 2) 配电网总有功网损
( 3) 配电网电压安全稳定性
式中: r 是折现率; k 是设备使用年限; s 为 DG 接入系统的节点数; xi 为接入 DG 的有功容量; Nb 为系统中的支路数; N 为网络节点数; UN 为额定电压,取 1. 05; Ui 表示实际电压幅值。
免责声明:本文系网络转载或改编,未找到原创作者,版权归原作者所有。如涉及版权,请联系删