对于矩形悬臂梁均布载荷问题,分别采用不同单元模型进行分析,对比考察分析结果的差异。

如图所示矩形截面悬臂梁,左端固定,材料为钢。材料参数为: 弹性模量 E=2E11Pa,泊松比u=0.28,密度ρ=7800kg/m^3。几何参数如图中所示。梁上作用有均布载荷。
分别采用三维实体单元、平面应力单元及梁单元进行分析;对比考察梁右端的位移和左端的应力分布;讨论理论计算值与有限元计算结果差异。
此问题属于结构分析范畴,借助ANSYS Mechanical APDL模块,通过软件界面操作方式实现。单位制:m、kg、s、N、Pa。
分别采用三维实体单元Brick 8 node 185、平面应力单元Quad 4 node 182及梁单元2 node 188进行分析。
(一) 定义工作文件名
依次单击Utility Menu>File>Change Jobname,在出现的对话框中输入:beam,在“New Log and error files”处选中“yes”,单击“OK”。
(二) 定义单元类型

(三) 设置材料属性
依次单击Main Menu>Preprocessor>Material Props>Material Models ,出现“Define Material Model Behavior”对话框,在“Material Model Available”下面的对话框中,双击打开“Structural>Linear>Elastic>Isotropic”,出现对话框,输入弹性模量EX=2e11,泊松比PRXY=0.28,单击“OK”,单击“Material>Exit”。
(四) 建立几何模型


(五) 划分单元

(六) 施加载荷和边界条件





(七) 求解模型
依次点击Main Menu>Solution>Solve>Current LS进行求解,当提示Solution is Done说明求解完成。
(八) 结果查看
依次单击Main Menu>GeneralPostproc>PlotResults>Contour Plot>Nodal Solu,弹出对话框,在“Item to be Contoured”栏中选择“Stress”,在其右面的栏中,选择“von Mises stress”后,单击“OK”,这时在图形窗口处显示出平面的应力云图,如图所示。

依次单击 Main Menu>GeneralPostproc>Plot Results>Contour Plot>Nodal Solu,弹出对话框,在“Item to be Contoured”栏中选择“DOF Solution”,在其右面的栏中,选择“Displacement vector sum”后,单击“OK”,这时在图形窗口处显示出三维应变图,如图所示。

(一) 定义工作文件名
依次单击Utility Menu>File>Change Jobname,在出现的对话框中输入:beam,在“New Log and error files”处选中“yes”,单击“OK”。
(二) 定义单元类型

(三) 设置材料属性
依次单击Main Menu>Preprocessor>Material Props>Material Models,出现“Define Material Model Behavior”对话框,在“Material Model Available”下面的对话框中,双击打开“Structural>Linear>Elastic>Isotropic”,出现对话框,输入弹性模量EX=2e11,泊松比PRXY=0.28,单击“OK”,单击“Material>Exit”。
(四) 建立几何模型


(五) 划分单元

(六) 施加载荷和边界条件





(七) 求解模型
依次点击Main Menu>Solution>Solve>Current LS进行求解,当提示Solution is Done说明求解完成。
(八) 结果查看
依次单击Main Menu>GeneralPostproc>PlotResults>Contour Plot>Nodal Solu,弹出对话框,在“Item to be Contoured”栏中选择“Stress”,在其右面的栏中,选择“von Mises stress”后,单击“OK”,这时在图形窗口处显示出平面的应力云图,如图所示。

依次单击 Main Menu>GeneralPostproc>Plot Results>Contour Plot>Nodal Solu,弹出对话框,在“Item to be Contoured”栏中选择“DOF Solution”,在其右面的栏中,选择“Displacement vector sum”后,单击“OK”,这时在图形窗口处显示出三维应变图,如图所示。

(一) 定义工作文件名
依次单击Utility Menu>File>Change Jobname,在出现的对话框中输入:beam,在“New Log and error files”处选中“yes”,单击“OK”。
(二) 定义单元类型

(三) 设置材料属性
依次单击Main Menu>Preprocessor>Material Props>Material Models,出现“Define Material Model Behavior”对话框,在“Material Model Available”下面的对话框中,双击打开“Structural>Linear>Elastic>Isotropic”,出现对话框,输入弹性模量EX=2e11,泊松比PRXY=0.28,单击“OK”,单击“Material>Exit”。
(四) 建立几何模型


(五) 划分单元


(六) 施加载荷和边界条件





(七) 求解模型
依次点击Main Menu>Solution>Solve>Current LS进行求解,当提示Solution is Done说明求解完成。
(八) 结果查看
依次单击Main Menu>GeneralPostproc>PlotResults>Contour Plot>Nodal Solu,弹出对话框,在“Item to be Contoured”栏中选择“Stress”,在其右面的栏中,选择“von Mises stress”后,单击“OK”,这时在图形窗口处显示出平面的应力云图,如图所示。

依次单击 Main Menu>GeneralPostproc>Plot Results>Contour Plot>Nodal Solu,弹出对话框,在“Item to be Contoured”栏中选择“DOF Solution”,在其右面的栏中,选择“Displacement vector sum”后,单击“OK”,这时在图形窗口处显示出三维应变图,如图所示。

有限元计算结果与理论计算值的对比如下表所示。
由表可以看出,采用三维实体单元与平面应力单元进行分析,得到的结果与理论计算结果相差较大,采用梁单元分析得到的结果与理论计算结果相差较小。产生的误差可能是由于模型误差导致的。
因此可得出结论,采用梁单元进行分析,与理论计算结果的差异更小。
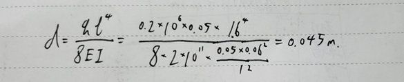
附:理论计算过程

免责声明:本文系网络转载或改编,未找到原创作者,版权归原作者所有。如涉及版权,请联系删