已更新基于Workbench平台的nCode随机振动疲劳寿命分析的视频介绍,实操+讲解。
三区间法又称为三带技术,是Steinberg通过整理与重新编排大量的试验数据,提出的一种基于高斯分布与Miner准则的简化方法,可用于分析结构在随机振动环境下的疲劳寿命。它具有合理的准确度与精度,可以满足大多数工程要求。首先假设结构受到的随机激励服从高斯分布,1σ水平的瞬时加速度作用在-1σ和+1σ之间的时间占68.3%,2σ水平的瞬时加速度作用在-2σ和+2σ之间的时间占27.1%(95.4%-68.3%),3σ水平的瞬时加速度作用在-3σ和+3σ之间的时间占4.33%(99.73%-95.4%),如下图所示。

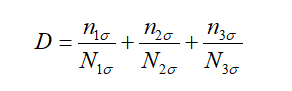
利用1σ、2σ和3σ应力水平与振动频次,再使用S-N曲线与Miner准则来计算焊点的疲劳损伤,从而得到振动疲劳寿命。疲劳损伤具体计算公式如下:
上式中
N1σ、N2σ和N3σ分别是从S-N曲线得到的1σ、2σ和3σ应力水平所对应的循环次数。
对于n1σ、n2σ和n3σ的计算,主要分两种情况:
(1)只考虑PCB的一阶固有频率(基频)
假设PCB是单自由度系统,也就是只考虑基频,有:

其中fn为PCB的基频,T为振动载荷施加时间,vn=fn·T为振动频次。上述计算方式,可以看做对PCB施加的是窄带随机振动,只激励PCB的基频。
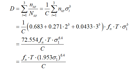
则更根据Miner准则和Basquin公式:

公式推理:

由上式可知1.953σ应力水平作用T时间造成的疲劳损伤与1σ、2σ和3σ应力水平分别作用0.683T、0.271T和0.0433T造成的累积损伤相同。因此,只要知道1σ应力水平值、焊点材料的S-N曲线、PCB基频以及随机振动载荷施加时间,即可计算累积损伤,从而预计疲劳寿命。
(2)考虑带宽内的所有受激励的模态频率
上述只考虑PCB基频,实际上结构受宽带随机激励时,带宽内所有频率都瞬间、同时存在,而且PCB实际上也是多自由度系统,在带宽范围内其受激励的模态频率可能不止一个。因此,n1σ、n2σ和n3σ不能再使用上述公式来计算,此时:

其中v+ 0为平均频率,其计算公式如下,假设G(f)是随机振动下应力的PSD函数,则单位时间内的正零穿越平均数即平均频率为:

其中f为频率(单位Hz)。
因此,只要得到随机振动环境下焊点的应力PSD,则可以根据上式计算得到v+ 0,就可以计算得到焊点的疲劳损伤D,令D=1就得到焊点的随机振动疲劳寿命。
【课程已针对该部分内容做详细补充说明,包括基于workbench获取关键参数】
【不用购买,下述无内容,前期已购买者可联系我退费(80%所得)】
【不用购买,下述无内容】
【不用购买,下述无内容】