 
    文题释义: 非连续节段颈椎病:在影像学上出现 2 个或 2 个以上节段椎间盘变性、向后突出以及椎体后缘骨赘形成等多 种病理改变,造成相应节段的颈髓或硬膜囊受压,并有相应临床表现,病变节段之间间隔有 1 个或 1 个以上 正常的椎间盘。 颈椎间盘切除椎间植骨融合:可以有效地解除压迫、恢复椎间高度,目前为止仍然是治疗颈椎间盘退变颈椎 病的“金标准”。尽管融合术后症状得到明显改善,但一部分患者在随访中发现融合术后相关并发症,其中 最主要的问题就是邻近节段椎间盘退变。
背景:对于连续节段颈椎间盘变性颈椎病的治疗,是单纯使用颈椎间盘切除椎间植骨融合还是人工椎间盘置 换,抑或混合术式,都有大量的临床文献报道。然而,随着不连续节段颈椎间盘变性颈椎病的报道逐渐增多, 对手术方案的选择并没有统一意见。
目的:对非连续两节段颈椎病前路 4 种手术方案进行有限元分析,探讨不同方案的生物力学特点,为临床治 疗提供参考。
方法:采用 64 排螺旋 CT 机采集健康女性志愿者 C2-7影像学资料,导入 Mimics 医学图像处理软件中建立 三维模型及实体模型,对三维模型进行网格划分后导出 inp 格式文件。志愿者签署知情同意书,实验方案得 到医院伦理委员会批准。运用 Hypermesh 建立椎间盘、韧带及人工椎间盘模型,划分网格后导出为 inp 格 式文件。将处理好的 inp 格式文件导入 ABAQUS 中进行赋材、建立接触对、设置载荷、约束边界及作业分 析。
结果与结论:①融合&融合模型中应力集中于固定节段,而固定节段活动度降低,邻近节段活动度代偿性增 大;②置换&置换模型中置换节段活动度增大,正常节段一部分活动度被人工椎间盘所代偿,但是椎间应力 与正常模型结果最为贴合;③融合&置换模型正常节段活动度保留程度比置换&融合模型大;④但置换&融合 模型置换节段活动度增大程度大于融合&置换模型;⑤提示置换&置换方案是解决神经症状的同时又保证整 体颈椎活动度的最好选择;融合&置换可避免下位节段应力集中的折中方案,随后的是置换&融合方案;融 合&融合方案有导致邻近节段活动度代偿性增加的风险,仅作为最后考虑方案。
关键词: 非连续;跳跃节段;融合;置换;混合术式;有限元分析;颈椎活动度;应力
引言 Introduction
颈椎间盘切除椎间植骨融合可以有效地解除压迫、恢 复椎间高度,目前为止仍然是治疗颈椎间盘退变颈椎病的 “金标准”[1-2]。尽管融合术后症状得到明显改善,但一部 分患者在随访中发现融合术后相关并发症,其中最主要的 问题就是邻近节段椎间盘退变[1,3]。随着技术革新,为达到 防止术后颈椎活动度丢失及手术节段应力集中,人工椎间 盘置换逐渐成为另一种考虑方案[2,4],置换术后确保了手术 节段的活动度,但仍有异位骨化的风险。临床上,一方面, 面对不同退变节段的位置以及数目,单一术式可能不能满 足术者的预期;另一方面,因为严格的适应证以及高昂的 费用负担,置换在治疗多节段颈椎间盘退变颈椎病上有所 限制。因此,部分术者会采用融合和置换混合术式,以求 疗效与费用折中的效果[5-7]。
对于非连续两节段颈椎间盘退变者,抑或因颈椎前路 术后非连续节段再退变者,目前临床上仅发现个别临床对 照试验报道疗效[8-11],并没有发现其生物力学方面的报道。 当出现跳跃节段退变的颈椎病时,理论上存在4种手术方 案,分别是融合&融合,融合&置换,置换&融合,置换& 置换,见图1。而流行病学相关研究报道退变性颈椎病主要 的好发节段位于C3-6 [12-13]。因此,此次研究基于CT影像学 建立三维有限元模型,对非连续两节段颈椎病前路4种手术 方案进行有限元分析。
1 对象和方法 Subjects and methods
1.1 设计 有限元分析试验。
 
    1.2 时间及地点 于2018年6至12月在广州中医药大学 第二附属医院完成。
1.3 对象 选择1名获取知情同意的健康女性志愿者,年 龄47岁,身高160 cm,体质量53.5 kg。采用GE公司64排 螺旋CT机,对志愿者从颅底到C7进行薄层扫描,将影像学 资料通过光盘以Dicom格式导出。
1.4 材料 GE公司64排螺旋CT机,联想工作站,MIMICS 20.0,Hypermesh 13.0,ABAQUS 2016。
1.5 方法
1.5.1 颈椎有限元模型的建立 将Dicom格式影像学资料 导入MIMICS中,利用阈值分割、区域增长、蒙版编辑、 3D计算等操作,生成三维表面模型。对建立的三维模型分 别进行平滑表面,划分面网格及体网格。利用前人研究中总结的人类椎体经验公式[14],通过CT图片灰度值,对颈椎 的材料属性进行精确定义[15]。最后将颈椎骨性结构有限元 模型导出为ABAQUS支持的inp格式文件以及Hypermesh 支持的iges格式。
1.5.2 椎间盘及韧带有限元模型的建立 将MIMICS导出 的iges格式文件导入到Hypermes中,建立椎间盘,其中外 周60%结构为纤维环,中间40%为髓核;根据Primal Pictures三维解剖学数据库中提供的颈椎韧带起止点参数, 建立韧带结构。最后对椎间盘及韧带划分网格,保存为 ABAQUS支持的inp格式文件。具体模型见图2。
 
    1.5.3 椎间融合器及人工椎间盘有限元模型的建立 模拟 融合及置换手术,运用Hypermesh对椎间融合器及人工椎间 盘建立三维模型。为简化设计,将需进行融合节段的纤维环 材料替换为融合器材料,髓核材料替换为松质骨材料;将需 进行置换节段的椎间盘假体简化为上下两金属终板及中间 聚合材料垫片。对椎间融合器及人工椎间盘三维模型进行体 网格划分,然后保存为ABAQUS支持的inp格式文件。
1.5.4 材料属性的设定 将处理好的inp格式文件导入 ABAQUS。参照前人研究中的材料属性,分别对纤维环、 髓核、韧带、融合器、移植骨、金属终板、聚合材料垫片 进行赋值,且材料力学特性定义为均质、各向同性。具体 材料属性见表1。
 
    1.5.5 接触的建立 椎体与椎间盘、融合器、金属终板之间设置为绑定;上下关节突关节面设定为面对面接触,摩 擦系数为0.2。
1.5.6 载荷施加及边界约束 分别对C2、C7建立参考点, 然后分别将C2、C7耦合于各自参考点。于C2参考点施加一 50 N载荷模拟人头颅质量。于C7参考点施加6个自由度完 全约束。分别对C2参考点施加模拟前屈、背伸、旋转、侧 屈的1.0 N·m弯矩。
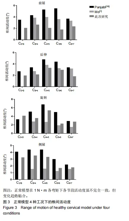
1.5.7 模型验证及工况作业 对健康颈椎模型施加前屈、 背伸、旋转、侧屈的1.0 N·m弯矩下,并与Panjabi等[16] 和Mo等[1]的有限元模型数据进行比较。
2 结果 Results
2.1 正常模型4种工况下的活动情况 对健康颈椎模型施 加前屈、背伸、旋转、侧屈的1.0 N·m弯矩,通过作业计 算,得出各方向的活动度,见图3。通过统计图表,健康模 型在1 N·m各弯矩下各节段活动度虽不完全一致,但变化 趋势贴合。
 
    2.2 手术模型4种工况下的活动情况 对手术模型施加前 屈、背伸、旋转、侧屈的1.0 N·m弯矩,通过作业计算, 得出各方向的活动度,见图4。健康模型在4种工况下,各 节段活动度大致相同。
 
    融合&融合模型因两节段均为植骨融合内固定,手术 节段活动度大幅度降低。其他正常节段均出现活动度增大 的代偿表现,其中C4-5活动度增加最大。 融合&置换及置换&融合模型中,固定节段活动度大幅 度降低,置换节段活动度最大,其他节段活动度出现代偿 性降低。但是,在2种方案置换节段活动度比较中,置换节段位于下位时,其活动度增加幅度最小,其他正常节段活 动度变化程度亦最小。
置换&置换模型中,两节段均为人工椎间盘,活动度 均增大,其中上位节段增加幅度最大。其余正常节段活动 度均有不同程度的降低。
2.3 手术模型4种工况下的应力比较 较正常模型从C2-3 节段开始逐渐增大,于C5-6达到颈椎最大应力,而后C6-7 应力有所回落。这与临床上颈椎好发节段位于C4-5和C5-6 吻合,见图5。
 
    融合&融合模型固定节段因活动度大幅度降低,椎间 应力随之增大,且上位固定节段应力较下位固定节段大。 融合&置换及置换&融合模型中,应力主要集中于固定 节段。固定节段位于上位时,集中应力比下位大。相反, 置换节段无论位于上位还是下位,应力均与正常节段拟合。 置换&置换模型中,因为手术两节段活动度均有提升,因 此,椎间应力并没有集中于此,且手术节段应力拟合周围 正常节段。
3 讨论 Discussion
面对连续节段颈椎间盘变性颈椎病时,目前并没有同 一的共识,是单纯使用融合还是置换,抑或混合术式,有 大量的临床文献进行报道[5-7],各方面的有限元分析研究 也对不同术式进行了深入的模拟[1,3,9,16-17]。退变节段经 融合治疗后,术后随访中获得良好的疗效[4,18-19],但固定 节段活动度丢失,邻近节段活动度增加[19],这与此次研究 的结果相符。在术后随访中,邻椎病作为主要并发症被广 泛报道[3,10-11]。相邻的节段性颈椎病每年约发生在3%的 患者中,融合后的前10年内预期发生率为25%[20],部分 患者甚至因为邻近节段退变加剧引起神经症状而需要进 一步手术治疗。置换被设计的初衷是保持颈椎术后活动 度,避免融合的限制,并允许患者快速恢复日常活动[4]。
但因为其严格的适应证,以及异位骨化、骨性关节炎等并 发症风险,流行程度不及融合[21]。针对颈椎节段的退变程 度,为了保留活动度又兼顾稳定性[9],混合术式逐渐被提 起。Hung等[22-23]通过比较连续多节段单一术式和混合术 式,发现混合术式术后的颈椎运动度良好,且颈椎曲度得 到较好的恢复。从目前临床证据看来,对于多节段颈椎病, 单一术式治疗方案似乎并不能得到很好的结果。
随着不连续节段颈椎间盘变性颈椎病的报道逐渐增 多,关于这种退变情况手术的方案并没有统一的意见。因 此此次研究对前路不同术式进行有限元分析,比较术式间 的活动度以及椎间应力。学者对融合增加邻椎病发病率的 观点有高度的一致性,但Bisson等[10]通过对融合治疗不连 续节段退变进行回顾性研究,他们认为虽然融合术后颈椎 通过代偿活动度和负荷保留整体运动,但保留颈椎活动度 新技术的经验受限制,因此融合仍然是最成熟的方法。为 了排除固定术式中钢板的干扰,Zhang等[24]对零切迹椎间 融合与钢板固定融合进行了回顾性对照研究。随访中发现 两种方式融合内固定均得到良好疗效,而零切迹椎间融合 组中邻椎病及发生咽喉食管相关并发症明显少于钢板固定 融合组,这可能是因为零切迹椎间融合可以完全被包含在 椎间空间中,从而减少对相邻结构的刺激。Qizhi等[11]及 Shang等[17]通过单纯使用融合与单纯使用置换进行病例对 照研究,在中期随访中发现2组患者功能评分差别不大,而 融合组中邻椎病发生率差异有显著性意义。Wu等[8]对混合 术式与置换进行对照后发现两者安全与疗效差别不大,但 混合术式中中间椎间盘的活动度明显比单纯使用置换的 大,这与此次研究中得出的结果相一致。不管是否涉及被 连续节段颈椎病,当涉及多节段、长节段前路融合或置换 时,通常都会担心手术的介入对正常节段的短期及长期影 响。然而,手术治疗难免伴随各种不良事件,如假关节的 形成、髂嵴供体部位的感染、术后持续性吞咽困难及嘶哑、 邻近椎体退变和不愈合等。因此在制定手术方案前需要对 患者的具体情况进行分析。
此次研究中,融合&融合模型结果发现出现应力集中于 固定节段,这与固定节段低活动度有关。而固定节段活动度 降低,原本该节段负责的活动被邻近节段所代偿,导致邻近 节段活动度代偿性增大。置换&置换模型结果显示置换节段 活动度增大,正常节段一部分活动度被人工椎间盘所代偿, 但是椎间应力与正常模型结果最为贴合,这可能是整体活动 度并没有丢失有关。这与目前临床报道的结果相符,这亦可 能是融合术后邻椎病发病率大于置换的原因。目前所报道关 于混合术式治疗非连续节段颈椎间盘退变颈椎病的文献中, 并没有将融合和置换的节段顺序进行分组,而笼统地统称为 混合术式组或混合术式方案。从以往关于混合术式治疗连续 节段颈椎间盘退变性颈椎病的文献中[1],融合和置换的节段 顺序对颈椎整体有细微的差别,这直接影响到混合术式的使 用。在此次研究中,将混合术式分为融合&置换模型和置换&融合模型,2个模型中固定节段均表现出应力集中,但对于 固定节段的邻近活动度,融合&置换模型保留程度比置换& 融合模型大。2个模型中,置换节段活动度均出现增大,置 换&融合模型增大程度比融合&置换模型大。颈椎各节段活动 度来分析,以C5-6和C6-7间的椎间盘活动度为最大[25]。当固定 下位节段时,原本由下颈椎所负责的活动度代偿转移到上颈 椎。为满足原本整体颈椎的活动度,置换&融合模型中置换 节段活动度需比平时进一步增加。相反,融合&置换模型中 置换节段位于下位颈椎,这恰符合与正常颈椎活动情况所 需。因此,置换&融合模型中置换节段活动度增大程度比融 合&置换模型大。4级异位骨化代表椎间盘间隙的完整桥接 骨,节段几乎没有剩余运动(<1)。在美国试验用医疗器械的 豁免制度出版物中报告了4级异位骨化的发生率高达 13%[26]。Kepler等[27]的系统评价提出单节段置换发生以为骨 化的发生率明显大于多节段,这可能与置换节段活动度有 关。活动度过分集中于置换节段,人工椎间盘假体与椎体终 板间存在细微活动[28],这种不稳可能是诱导异位骨化的因 素。在正常颈椎模型中,C5-6是应力最集中的位置。因此在 选用混合术式时,为保证C5-6节段的活动度,适合采用置换 来避免邻近节段加速退变。但个别学者认为融合的代偿作用 和置换的异位骨化使混合术式的适应证比单一术式更加狭 窄[29-30]。在需要使用混合术式时,下位节段采用置换而上位 节段采用融合的方案可预防因置换节段活动度过大而导致 异位骨化。当然,在考虑使用人工椎间盘前,还需要排除术 前颈椎存在不稳、关节炎、骨质增生以及韧带钙化的患者。
综合临床数据及此次研究结果,在面对非连续两节段 颈椎病时,为确保邻近正常节段的长远使用,特别是中间 “夹心椎间盘”,融合&融合并不是最佳方案。适应证允许 的情况下,置换&置换方案是解决神经症状的同时又保证 整体颈椎活动度的最好选择。然而,疾病节段退变的程度 并不尽相同,部分患者更有费用相关考虑。对此,混合术 式可能是折中的最好办法,但应针对主要病变节段,调整 人工椎间盘的位置。
此次研究中亦存在不足:采集的影像资料来自于个体, 存在一定的差异性;模型建立过程中因采用简化模型,难 免忽略细微结构的影响;颈椎间盘退变性颈椎病多少存在 骨质疏松、韧带钙化、关节退变等退变因素,但此次研究 中4种方案模型并没有涉及,因此需结合患者具体的临床状 况来决定手术方案。
 
    
 
    
 
    章仅供学习交流,版权归原版作者所有,如涉及侵权请联系删除
针对骨学、关节外科、普外科、囗腔科等提供医学力学有限元分析仿真、培训、临床手术模拟分析等;
代做有限元:脊椎、腰椎、颈椎、上下肢、假肢、前臂、血管支架、牙齿、骨关节等;
服务对象:各省市、自治区从事运动生物力学、生物医学工程、基础医学、临床医学、囗腔力学、骨骼力学的教学、研究与应用的教师、科研工作者、各级教练员等方面的相关人员;国内各重点大学、科研院所相关研究领域的博士、硕士相关研究生和学者等。
相关课题学习或项目代做可主页私信小编!