我们在用adams仿真时,通常会想让他和真实情况尽量接近,当我们在研究一些物体的飞行轨迹时,就需要考虑我们考虑空气阻力,而adams是一款多刚体动力学软件,里面不能设置空气等流体的运动和载荷。如果我们已经有确定的数值,可以施加力和力矩来仿真,但是无法模拟整个空气的状态。要模拟流体的话还是用fluent吧,接下来是要分享采用力场的方式来模拟空气阻力。
第一步:点击我们上方的力场图案

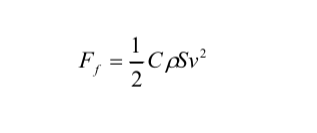
先教大家怎么知道空气阻力的确定值
一,假如室内无风环境,空气阻力大小直接收到速度影响,有流体力学知识可知:

二,对于速度较小,射程较小的抛体运动,且面积较大则可以考虑:

第二步:力场在I-Marker上的力和力矩按照下面公式计算:

X0,y0和z0是I-Marker和J-Marker之间的初始位移;后面三个0x,0y,0z是
I-Marker和J-Marker之间的初始角度;力场的定义过程和卷曲弹簧的定义过程类
似。有三种方式可以选:

下面是选方向:

第三步:力场建立在物体上之后,我们可以在左侧“力”的组里面找到,点击我们施加的力场:

我们可以在x,y,z三个方向上施加力和力矩,这样我们的空气阻力就弄好了。
免责声明:本文系网络转载或改编,未找到原创作者,版权归原作者所有。如涉及版权,请联系删