青藏公路有上百公里修建在冻土区。冻土路基产生的变形与内地路基产生的变形不同。冻土路基随着季节的交替发生冻结与融化的同时路面会产生相应的变形,并且这样的变形随着时间的推移还在持续不断的变化。在同一路基横断面处,由于冻土路基温度场和水分场分布的不同,路基表面会产生不均匀变形,即在道路横向发生了变形。在青藏公路的不同路段,由于不同的路基填料、不同的路基高度、不同的多年冻土 类 型以及不同的路侧积水等情况,会使得冻土路基形成纵向的波浪变形。
1 路基温度场
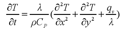
温度场的 控制 方程如下所示

由于冻土路基会存在冻结和融化过程,这就会伴随着相变热的产生,因此需要在传统温度控制方程中额外考虑相变热的的影响。

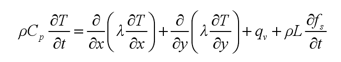
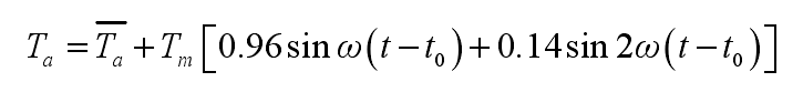
路基的温度场 边界 比较复杂,本文采用第二类和第三类边界条件,考虑太阳辐射、对流换热和地面有效辐射的影响。太阳辐射主要影响大气温度变化,这里采用下式描述大气温度变化

对流换热则采用下式描述

建立如图所示的有限元模型

可以计算得到路基的温度场分布和一年中路基的温度变化如图所示


2 水分场分析
冻土路基的变形与水的冻结和融化息息相关。所以分析冻土路基的变形时必须考虑水场分布的影响。
路基中水分场迁移可以通过达西定律来描述

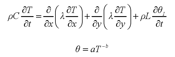
由于冻土路基中,水分冻结后,水分会发生迁移,因此需要考虑相变对水分迁移的影响。

计算得到的饱和度分布如图所示

3 变形场分析
冻土路基的变形包括融沉变形和车载变形。进行变形场分析时,采用摩尔库伦准则

路面的车辆载荷采用脉冲载荷来模拟,如下图所示

同时,水分的冻结时会产生冻胀变形,因此需要考虑冻胀率的影响。这里冻胀率选择为0.03。
结合温度场分析和水分场分析可以获得路基的变形结果。

本文中,温度场分析通过film子程序和dflux子程序定义温度边界,通过hetval子程序定义相变热。变形场分析通过dload子程序定义车辆载荷,通过uexpan子程序引入冻胀影响。
免责声明:本文系网络转载或改编,未找到原创作者,版权归原作者所有。如涉及版权,请联系删