第二次世界大战中,约有20架“惠灵顿”号重型轰炸机由于零部件的疲劳破坏而发生坠落。历史上由于疲劳破坏而发生的各 类 事故也数不胜数。随着理论研究的深入和设备计算能力的快速发展,对于一些金属材料的疲劳寿命预测已取得了一定的成果。但复合材料作为一种具备较高比强度、比模量和设计自由性的新性能各向异性材料,目前仍未有多少方法可以较为准确地对其疲劳寿命进行预测。若直接利用商用有限元软件中的对应模块进行计算,所得的结果也往往不尽人意。
这一期我们就来说说如何在ABAQUS中基于Umat子程序来实现对纤维增强 复合材料 疲劳寿命进行较为有效的预测。
1. 预测方法概述—“以静代动”
我们知道,构件疲劳寿命动辄数十万甚至上百万疲劳循环,之所以要采用仿真手段,无外乎要达到两个目的。
其一,降低成本。君不见,构件加工、疲劳试验机采购、长周期试验电费、人力成本,处处都是烧钱的地方。国内能养得起完整的结构强度部门的大多是主机院所,在养技术员的同时,还养着一套试验设备的单位则更屈指可数。
其二,提高效率。长周期的试验,效率自然是很低的,而在设计阶段,大量的构型需要去验证,从而选择最后的方案,这个阶段就上试验手段选型,哪个单位都吃不消,毕竟研制节点不等人。
如果采用仿真计算,去计算个上百万疲劳循环,那么上面第二个目的就达不到了。大的模型动辄千万网格,做上百万次循环计算,这个时间成本我想都不敢想,毕竟不是哪个地主家都有超算中心啊。
于是乎,这就有了个“以静代动”的方法。思路是这样的:
1)采用载荷峰值加静力载荷。
2)总时间设为1,然后认为1代表1e6循环,如果分析步长为0.01,那就是说每个分析步,就认为完成了1e4循环。然后根据循环次数,对材料性能做折减和失效判断。

2. 案例
本文以三维编织复合材料为例,分析过程主要分为两大步,即静力分析和疲劳寿命分析。
2.1 静力分析
静力分析的目的是拿到胞元的强度,以及在该强度下,各组分的平均应力,进而确定组分材料在该载荷下的疲劳寿命。
(1)在Umat子程序中选用三维Hashin准则进行纤维束的失效判断,选用最大应力准则进行基体的失效判断。
(2)确定单胞疲劳失效载荷、极限应变,和纤维束平均应力。
(3)计算时,计算模型需对界面和边界条件采用一定的假设与简化。提取加载点位移载荷数据。

图1 单胞静力分析载荷位移曲线
2.2 疲劳分析
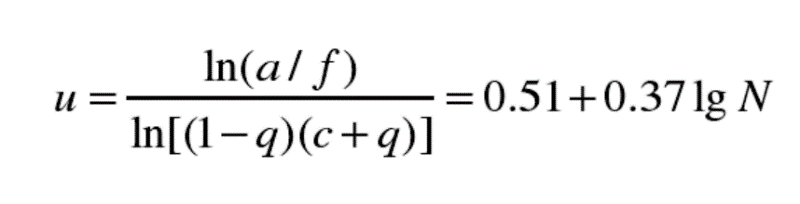
(1)建立纤维束、界面、基体的疲劳折减模型,定义损伤因子,这些均在Umat子程序中加以实现。同样的,在建立疲劳折减模型时也需引入一些的假设以简化模型。在本此研究模型中,首先利用以下文献中提供的单向复合材料疲劳寿命预测 公式 确定不同应力水平下纤维束的疲劳寿命:

(2)依据计算所得的疲劳寿命,在Umat子程序中实现不同应力水平下纤维束、界面和基体的刚度折减、强度折减。
(3)最后,利用子程序实现载荷步的循环加载,同时在每次循环中对单胞的疲劳状态及失效状态进行判断,直至单胞达到最大疲劳寿命状态。
2.3 结果展示
(1)单胞应力水平与疲劳寿命的关系
本文分别依据以上方法,进行了不同应力水平的单胞疲劳寿命预测,单胞应力水平与疲劳寿命的关系如图2所示。

图2 单胞疲劳寿命预测结果
(2)损失演化
其中,纤维束的损伤演化如图3所示。如图所示,在单胞彻底失效前,材料损伤区域变化不大,但一旦发生失效,扩展十分迅速,说明了疲劳破坏具有突变性和快速性。

图3 纤维束损伤演化情况
3. 后记
最后,笔者在这边强调下,本文提到的方法适用面较广,不仅仅只针对于三维编织复合材料,对于一般的纤维增强复合材料均可适用,只需在Umat子程序中调整对应参数即可。同时,大家若有更好的想法、建议或相关需求,可通过公众号或站内私信联系我们。
欢迎大家关注“320科技工作室”微信公众号,
参考文献:
冯继强. 三维四向编织复合材料疲劳性能研究[D]. 2017.
免责声明:本文系网络转载或改编,未找到原创作者,版权归原作者所有。如涉及版权,请联系删