导读:大家好,我是九千,仿真秀专栏作者,现从事力学仿真研究,有9年有限元仿真经验,擅长材料本构开发,ABAQUS子程序开发,ABAQUS-Python二次开发,Hypermesh-ABAQUS联合仿真。即日起,我在仿真秀为大家提供Abaqus原创视频课程、培训和技术咨询等服务。
众说周知,Abaqus提供了丰富的子程序接口,其中UMAT及UHARD、UHYPER等子程序接口用于实现用户自定义材料本构,但UMAT等子程序的编程开发要求用户具有专业的连续介质力学知识储备和一定的Fortran编程能力。市面上有诸多文献、书籍都介绍了UMAT等材料用户子程序的开发,但往往不够系统,尤其对理论公式的推导过于跳跃,也少有讲解理论公式与代码的对应关系。另一方面,在自媒体时代,仿真领域也涌现了大量教学视频,但鲜有UMAT相关的讲解视频。
本文是笔者围绕Abaqus各向同性硬化弹塑性UMAT实例展开,该实例收录于仿真秀官网-九千CAE创作的UMAT系列视频《Abaqus UMAT 材料子程序开发59讲:经典材料本构UMAT编程实例详解》(https://www.fangzhenxiu.com/course/8215599/) 以下是正文(Abaqus各向同性硬化弹塑性UMAT实例的理论讲解部分也可以在b站视频查看 链接):
 
    一、各向同性弹塑性本构
1、弹性本构
各向同性线弹性本构即广义胡克定律:
 
    2、塑性本构
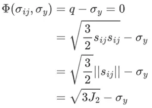
各向同性硬化塑性本构采用经典的Mises屈服准则,即材料进入屈服状态后,Mises等效应力与后继屈服应力相等:
 
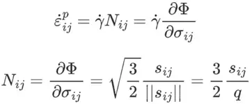
    以屈服函数作为塑性势函数(关联流动法则),可以建立应力应变关系,即等效应变速率与应力偏量成正比:
 
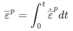
    等效应变速率在时间域内的积分即为等效应变:
 
    二、离散形式下的应力求解
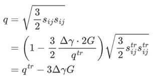
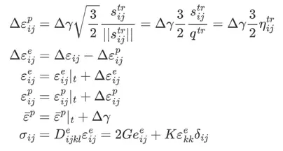
在弹塑性UMAT的实现中,ABAQUS求解器会将增量步的总应变增量张量传入,我们在UMAT中需要依照弹塑性本构去求解弹性应变增量张量和塑性应变增量张量,进而求解应力增量,完成应力更新。针对弹塑性本构,通常采用试应力-径向返回法实现上述求解过程。为此,先假设当前应变增量全为弹性应变增量,由此计算得到的应力称为试应力,通过试应力与当前材料状态对应的后继屈服强度做比较,即可判断材料是否屈服。若试应力小于后继屈服强度,则试应力即为所求应力,反之,需通过径向返回法求解。经推导,我们可以得到Mises应力与试应力的等效应力之间的关系:
 
    将上式带入屈服函数可得:
 
    进一步的,通过牛顿迭代法求解上式得到等效塑性应变增量,其它变量则可以通过以下公式更新:
 
    三、Jacobian矩阵
对于弹性增量步,Jacobian矩阵为
 
    对于弹塑性增量步,需要对应力应变关系取微分后获得Jacobian矩阵:
 
    其中
 
    四、UMAT实现弹塑性本构
基于前述应力求解理论方法和推导的Jacobian矩阵,通过Fortran实现UMAT子程序,相应流程图如下:
 
    为调用UMAT计算,ABAQUS中需建立相应的与子程序匹配的材料,相应的设置如下图(通过User Material设置本构参数,通过Depvar指定状态变量的数量):
 
    
 
    由于ABAQUS内置弹塑性本构模型,选取相同的本构参数和有限元模型,分别用内置模型(图左)和编写的子程序(图右)进行求解,结果如下图,两者计算的Mises应力和等效塑性应变均一致,表明子程序的准确性。
 
    
 
    四、ABAQUS UMAT材料子程序开发59讲
UMAT不但能实现前文中的各向同性硬化弹塑性本构,还可以实现线弹、超弹、随动硬化弹塑性等本构。这些内容都可以通过我的视频学习,以下是我的《ABAQUS UMAT 材料子程序开发59讲:经典材料本构UMAT编程实例详解》(https://www.fangzhenxiu.com/course/8215599/)课程大纲,强烈推荐大家学习。
 
    作者以经典的线弹性本构、Neo-Hookean超弹本构、Mooney-Rivlin超弹本构、弹塑性本构、线性随动硬化弹塑性本构为例,详细讲解了上述本构相关的编程实现理论公式推导和具体的UMAT编程实例,旨在帮助力学仿真领域的初学者达到ABAQUS材料子程序开发入门水平。并且为学习者提供知识圈答疑解惑和VIP交流群。
1、您将得到
(1)掌握各项同性线弹性UMAT的开发能力
(2)掌握Neo-Hookean超弹UMAT的开发能力
(3)掌握UHYPER实现Mooney-Rivlin超弹本构的开发能力
(4)掌握各向同性硬化弹塑性UMAT的开发能力
(5)掌握UHARD实现各项同性硬化弹塑性本构的开发能力
(6)掌握线性随动硬化弹塑性UMAT的开发能力
(7)提供课程相关全部资料和VIP用户交流群等服务
2、适合哪些人学习
(1)力学相关领域的学生和工程师
(2)学习型结构设计仿真工程师
(3)ABAQUS软件用户与学习者
(4)对于UMAT子程序二次开发感兴趣的所有工程师
(完)