混凝土,这种在微观层面呈现出非均质特性的建筑材料,其内部结构如同一幅复杂的微观画卷,由无数细小的颗粒与孔隙交织而成。
当我们深入探索其力学行为时,便假定构成混凝土的各相组分——从坚硬的骨料到细腻的水泥浆体——它们的力学性质并非均匀一致,而是遵循着一种特定的统计分布规律,即Weibull分布。
这仿佛是大自然赋予材料的一种内在秩序,在看似杂乱无章的微观世界中,隐藏着概率与强度的微妙平衡。
更进一步,我们假设混凝土的力学参数,如那决定材料刚度的弹性模量,以及衡量其抵抗破坏能力的强度等关键指标,并非固定不变,而是随着空间位置的不同而悄然变化。
这种变化如同山间云雾的流动,或夜空星辰的分布,充满了不确定性与多样性。
为了精准描绘这种随空间演化的特性,Weibull分布便成为了一把钥匙,它能够优雅地捕捉并描述这些力学参数在混凝土内部空间中的随机波动与渐变趋势,为理解这一复杂材料的行为提供了坚实的理论基础。
Weibull分布的分布密度函数为:

对应随机变量u的期望和方差为:

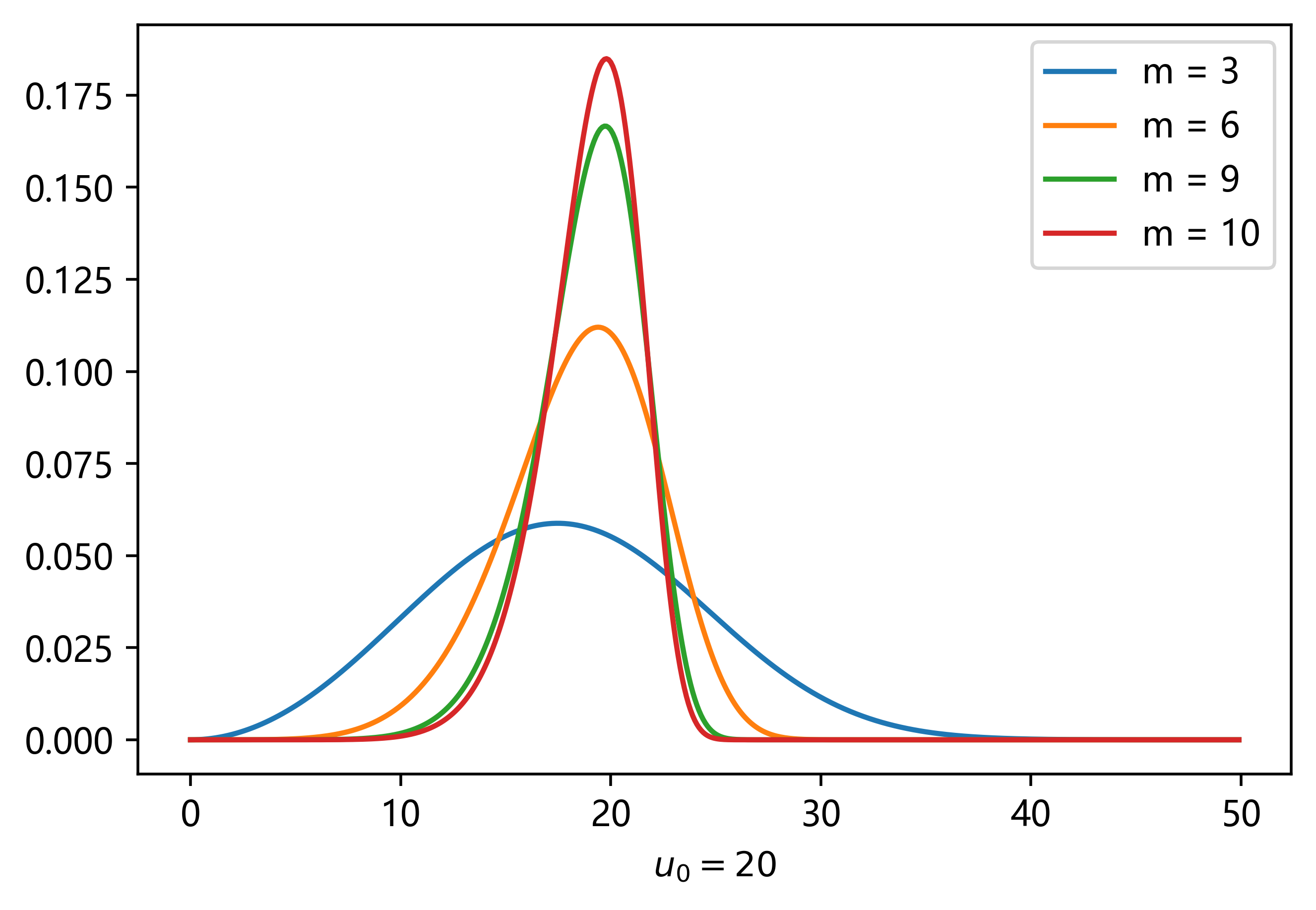
通过 控制 均质参数m和均值u0可以使材料属性落在特定的区间内,如图1图2所示。

图1 均质度变化

图2 均值变化
材料属性 Weibull分布通常有遍历法和区间法等方法实现,遍历法考虑各个单元材料属性的随机性,依定义的随机分布方式对各个单元随机生成参数值。但是遍历法单独定义每个单元的材料属性,定义数量过大,使得单元的材料属性离散性过大且难以定义模型的塑性损伤。
对遍历法进行 改进 ,发展称为区间法,对区间进行k等分,根据Weibull函数确定每一个子区间的单元个数,为避免子区间内材料属性离散过大,统一将子区间的材料属性定义为该子区间的均值。

以二相混凝土为例,遍历法实现骨料个体的 Weibull分布 ,区间法实现砂浆单元的Weibull分布,效果图如图3所示。

图3 二相混凝土Weibull分布示意图
免责声明:本文系网络转载或改编,未找到原创作者,版权归原作者所有。如涉及版权,请联系删