许可优化
许可优化
产品
产品
解决方案
解决方案
服务支持
服务支持
关于
关于
软件库
当前位置:服务支持 >  软件文章 >  M6翼型动力学验证分析

M6翼型动力学验证分析

阅读数 1618
点赞 0
article_banner

1建模目标和问题描述

学习目标

在本教程中,您将学习:

  1. 执行 3D 跨音速湍流 CFD 模拟

  2. 使用技术创建三维网格以策略性地细化网格

  3. 使用推荐的求解器设置获得迭代收敛

  4. 可视化 3D 流动特征以获得物理洞察力

  5. 通过与实验数据和 NASA CFD 结果进行比较来验证和验证模拟结果

问题说明

我们在 NASA 使用 WIND 进行的模拟之后对我们的模拟进行了建模,并尝试在此处重现他们的结果。正是从那里我们获得了用于比较目的的实验数据。它链接在这里:https://www.grc.nasa.gov/WWW/wind/valid/m6wing/m6wing.html

Onera M6 机翼上的气流是跨音速和可压缩的。翼流经历超音速条件、激波和边界层分离。没有机翼扭曲,所有弦都在同一平面上。因此,攻角就是自由流与弦线之间的夹角。模拟中没有侧滑。下面给出了流动条件

我们的机翼几何形状将是一个缩小版本,与 NASA 的几何形状相匹配,而不是链接页面上提供的实验。半跨度尺寸为 1 英尺,从那里我们能够计算出整个机翼的比例因子。有关几何创建的更多信息,请参见练习页面。下表描述了一些关键的几何形状,前缘角和后缘角是从垂直方向测量的。

2启动和预分析

预分析

在预分析步骤中,我们将审查以下内容:

  • 数学模型:我们将研究控制方程 + 边界条件以及数学模型中包含的假设。

  • Ansys 中的数值求解过程:我们将简要概述 Ansys 使用的求解策略并将其与手算方法进行对比。

数学模型

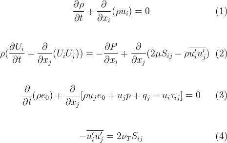
我们的模拟受连续性、Navier-Stokes(动量守恒)和能量方程的约束,但由于这是湍流,我们将使用这些方程的雷诺平均版本。我们还将使用 Spalart-Allmaras 湍流模型来封闭雷诺平均方程组。Spalart-Allmaras 湍流模型是为受壁面限制和逆压梯度影响的航空航天应用而开发的。Spalart-Allmaras 模型只有一个求解运动涡流粘度的方程。我们需要解决我们网格所有单元中心的问题变量。总的来说,我们有六个变量需要求解:速度、压力、温度和运动涡流粘度这 3 个分量。下面给出方程式。

连续性方程由方程 1 给出

雷诺平均 Navier-Stokes 方程由方程 2 给出

能量守恒方程由方程 3 给出

Spalart-Allmaras 湍流模型由等式 4 给出

Ansys 中的数值求解过程

方程被转换为代数方程。然后它在我们网格的每个单元中心求解我们的六个变量。这意味着如果我们有 300,000 个单元格,Fluent 将要求解 180 万个方程来解决问题。

手算

在此模拟中,我们希望在三个维度上看到许多流动特征。我们将对机翼上形成的吸力峰(低压区)以及吸力峰的大小如何在翼展方向变化特别感兴趣。我们还将寻找沿机翼表面的激波,因为这是跨音速流。由于高压区和低压区的相互作用,我们还希望看到机翼下游形成后缘涡流,因为这是一个有限长度的机翼。

我们还将尝试预测机翼的升力系数。此计算将假设您已经了解了有限机翼的一些空气动力学基础知识。

我们需要获得机翼的升力曲线斜率,假设它是无限机翼的一部分。我们知道我们的机翼是对称的,因此在 0 攻角时,它不会产生升力。我们找到了我们的翼型(或者可以非常接近我们的翼型,因为它在 0 攻角时没有升力)。我们使用的翼型在这里有详细说明:ONERA OA206 翼型

我们使用其特性计算无限翼的斜率并发现 a0 = .0884

使用它,然后我们可以使用后掠翼的校正来计算有限机翼的升力曲线斜率。我们需要对后掠翼使用此校正,因为整个机翼看不到自由流马赫数,机翼看到的马赫数较小,从而延迟了激波的发生并增加了临界马赫数

要使用这个方程,我们必须首先知道机翼的纵横比。

其中 b 是翼展,S 是机翼的平面面积。这两个值是已知的或容易计算的。我们模型的纵横比为 3.8。

在我们使用了所有的值之后,我们得到了一个修正后的斜率 a = .0760。对于有限机翼,我们知道由于 3D 效应,升力曲线将低于无限机翼,这反映在我们此处的计算中。一旦我们知道有限机翼的斜率,我们就可以计算机翼的升力系数。

使用这个校正因子,我们得到整个机翼的升力系数将为 0.4284。

这将适用于整个机翼和我们的半翼,我们只需除以 2 即可预测升力系数为 0.2141。

这是我们升力系数的粗略估计,由于机翼表面存在冲击,我们预计 Fluent 会为我们提供可比较但低于我们用手计算预测的值。

边界条件

机翼表面:

我们将把它设置为墙。基本上,壁边界条件是将那里的速度设置为 0。

近侧:

我们将把它设置为类型对称。这基本上意味着解关于这个平面是对称的。

入口、远侧、出口:

我们将把这些设置为类型压力远场。在这些边界,我们需要指定压力、马赫数、温度和速度分量。这允许计算声速和速度方向。

3几何建模

在本课中,您将学习:

  1. 导入外部几何文件

  2. 创建具有适当尺寸的流体流动域

  3. 为影响体创建几何体

  4. 将机翼面分成三部分,这样我们就可以更好地细化前缘和后缘周围的网格

几何以 STEP 格式给出: 链接:https://pan.quark.cn/s/ef7cee50fed9

该几何形状是实验性 Onera M6 几何形状的缩小版,以更接近 NASA 的结果。如果您想了解更多有关如何创建几何图形的信息,可以在此处查看如何创建。

在本课中,我们将学习如何将几何图形导入 Ansys Design Modeler。

链接:https://pan.quark.cn/s/f9865c925803

以上视频摘要:

  1. 创建fluent的项目

  2. 打开设计建模器

  3. 导入外部几何文件

创建流域

https://pan.quark.cn/s/9006de167c8f

我们现在将在 Ansys Design Modeler 中创建流域。

以上视频摘要:

  1. 在 XY 平面上 → 创建草图 → 绘制 → 中心圆弧

  2. 半径 = 10 英尺

  3. 连接弧端点的线

  4. 围绕 Y 轴旋转草图

  5. 反转90度

  6. 沿 +X 轴拉伸面 11 英尺

  7. 创建布尔值

  8. 目标体 = 流域

  9. 工具主体 = 翼几何 创建影响几何体

流体域将根据我们想要的选项在我们身体的边界内细化网格(在下一课中)。由于流中最有趣的事情发生在机翼附近,我们想要细化该区域的网格,而实际上不需要细化远离机翼的网格。这就是我们使用流体域的原因。

链接:https://pan.quark.cn/s/4e439ff77caa

以上视频摘要:

  1. 影响体创建 → 折线

  2. 平行于 x 轴的线 = 1.6 英尺

  3. 水平距离 = 1.2 英尺

  4. z 轴和引导线之间的距离 = .3 英尺

  5. 最短水平线的垂直约束

  6. x 轴与前缘线之间的角度 = 60 度

  7. x 轴与后缘线之间的角度 = 105.8 度

  8.  拉伸

  9.  对称的

  10. 添加冻结

  11. 挤出 0.2 英尺

我们在这里使用 add frozen 是因为默认情况下,我们创建的任何额外挤压都会自动添加到第一个主体。当我们选择“添加冻结”时,这个主体将被忽略,并从我们的流域主体中创建一个单独的主体。

分割翼面

在本视频中,我们将学习如何在 Ansys Design Modeler 中拆分机翼面。

链接:https://pan.quark.cn/s/04dd74543ca8

以上视频摘要:

  1. 投影到裂翼面

  2. 画两条线

  3. 具有前缘和后缘的平行约束

  4. 从草图创建直线

  5.  投影

  6. 选择两条线

  7. +Y 方向投影

  8. 抑制线体

  9. 将 Flow Domain body 设置为 Fluid

4网格划分

在本课中,您将学习如何:

  1. 使用有影响力的身体来增加身体尺寸

  2. 在机翼的顶面和底面添加面尺寸,将尺寸偏向前缘和后缘

  3. 添加膨胀层

  4. 使用正交质量检查网格质量

  5. 添加将导入到 Fluent 中的命名选择

调整网格大小

我们将在这里学习如何使用 Ansys Meshing 对机翼进行网格划分。在本视频中,我们将讨论调整网格大小的重要性。我们将使用 Ansys Meshing 中的身体和面部尺寸调整选项。此外,我们还将学习如何使用影响力设置进行网格细化。最后,我们将创建一个膨胀层网格,用于捕捉边界层的流动物理。

链接:https://pan.quark.cn/s/32d7c7251707

以上视频摘要:

  1. 将单位更改为美国惯用单位(英尺)

  2. 添加车身尺寸

  3. 网格 → 网格控制 → 上浆

  4. 选择影响力

  5. 尺寸 → .3 英尺

  6. 隐藏影响几何体

  7. 在前缘添加面尺寸

  8. 网格 → 网格控制 → 上浆

  9. 选择前沿面

  10. 单元尺寸 = .01 英尺

  11. 对后缘面重复 (3)

  12. 单元尺寸 = .01 英尺

  13. 对中间面重复 (3)

  14. 单元尺寸 = .03 英尺

  15. 对底面重复 (3)

  16. 单元尺寸 = .03 英尺

  17. 添加膨胀层

  18. 总厚度 = .006 英尺

  19. 后膨胀算法

我们添加我们的影响体以更好地围绕机翼进行细化,并且我们可以通过身体的大小来控制细化的大小。我们还可以控制此影响体中的元素大小以及影响体大小的转换速度。对于这个粗网格,我们在执行边尺寸调整时将行为设置为硬,但这不是必需的;我们将其设置为硬,因为稍后当我们想要细化网格时(在验证和验证课程中),我们将使用低于粗相关中心默认大小的元素大小,如果我们将行为保留为软,则mesher 只会将元素大小减小到默认的最小元素大小。

网格质量和添加命名选择

在本视频中,我们将学习使用 Ansys Meshing 检查网格质量,并进一步向网格添加命名选择。这些命名选择稍后将被 Ansys Fluent 识别为面区域。

链接:https://pan.quark.cn/s/acd34fd9b601

以上视频摘要:

  1. 网格统计 → 网格 → 统计 → 正交质量

  2. 添加命名选择:far_side、near_side、outlet、inlet、wing surface - (1) 选择一个机翼面,以及 (2) Extend to limits, wingtip

5求解设置

您将在本课中学习以下内容。

  1. 设置流利

  2. 选择求解器

  3. 指定模拟的数学模型

  4. 修改材质

  5. 为问题设置边界条件

选择模型

链接:https://pan.quark.cn/s/eaf6877c5bfc

以上视频摘要:

  1. 启动fluent

  2. 双精度

  3. 并行处理

  4. 基于压力的求解器

  5. 模型 → 能量:打开能量方程

  6. 模型 → 粘性:选择 Spalart-Allmaras 方程

  7. 材料:空气

  8. 密度 → 理想气体

  9. 粘度 = 1.09329 x 10 -5 lbm/ft-s

设置边界条件

在这里,您将学习如何在 Ansys Fluent 中设置机翼模型。我们将讨论解决机翼周围流动所需的边界条件。

链接:https://pan.quark.cn/s/008677df2891

以上视频摘要:

  1. 边界条件

  2. 远侧 → 压力远场

  3. 压力 = 45.829 psia

  4. 马赫数 = .8395

  5. 迎角 = 3.06 度

  6. x 分量:0.9986

  7. y 分量:0.0534

  8. 温度 = 460 转

  9. 重复入口和出口

  10. 近侧→对称

  11. 翼面和翼尖 → 壁

6数值解

在视频中我们将:

  1. 设置我们的解决方法并选择选项以帮助收敛

  2. 创建监视器

  3. 初始化解决方案

  4. 检查参考值

  5. 选择我们希望 Fluent 导出到 CFD Post 并求解的数量

链接:https://pan.quark.cn/s/295f591ec2b0

以上视频摘要:

  1. 求解方法 → 耦合:伪瞬态和高阶项松弛

  2. 监视器 → 残差:绝对收敛标准 = 10 -3

  3. 监视器 → 创建 → 拖动

  4. 监视器 → 创建 → 提升

  5. 解决方案初始化

  6. 计算自 → 入口

  7. 参考值

  8. 计算自 → 入口

  9. 参考面积 = 1.076 英尺2

  10. 参考长度 = 1 英尺

  11. 数据文件数量:压力系数和马赫数

选择要从边界计算的参考值时,在本例中为入口,Fluent 不会计算参考长度或参考面积。这意味着我们需要自己为问题设置它们。

求解可能需要很长时间,具体取决于您的计算机。为了让您了解预计的时间,下面列出了时间以及计算机规格

您应该看到解决方案在大约 172 次迭代后收敛。下面给出了残差图。

此处,六个变量的残差已降至 10 -3以下。

数值结果 - 第 7 课

在本课中,您将学习如何:

  1. 看看机翼上的升力和阻力

  2. 看机翼的升力和阻力系数

  3. 创建压力和马赫等值线

  4. 看看震荡前后的边界层

  5. 在后缘平面创建速度矢量

  6. 查看拖尾涡流

  7. 在展向分数 .2 处绘制压力系数

  8. 将流体压力系数与实验数据进行比较

计算升力和阻力

链接:https://pan.quark.cn/s/077859679f3a

以上视频摘要:

  1. 报告 → 力量

  2. 查看阻力和升力

  3. 查看阻力和升力系数

查看压力和马赫数分布

链接:https://pan.quark.cn/s/7c9f5721da1f

以上视频摘要:

  1. 更改单位

  2. 编辑 → 选项 → 单位 → English Engineering

  3. 在机翼表面创建压力系数等高线

  4. 在对称平面上反射

  5. 在对称平面上创建压力系数等高线

  6. 禁用轮廓带

  7. 在机翼表面创建马赫数轮廓

研究边界层

链接:https://pan.quark.cn/s/3fdbacd513c3

以上视频摘要:

  1. 在对称平面上创建马赫数等值线

  2. 在对称平面上打开压力系数等高线

  3. 查看轮廓的划分:Mach Contours → Render → Constant Coloring

查看后缘涡流

链接:https://pan.quark.cn/s/165eb5e6a329

以上视频摘要:

  1. 在后缘创建平面

  2. 方法 → 点法线

  3. 边界 → 矩形

  4. 飞机类型 → 样本

  5. 在后缘平面上创建速度矢量

  6. 采样 → 等间距

  7. 符号 → 符号大小 → .5

  8. 更改背景颜色

  9. 右键单击 → 查看器选项 → 背景 → 颜色类型 → 纯白色

当涉及到有限机翼时,后缘涡流或升力引起的涡流是一个非常重要的现象。这些涡流是由于机翼的有限长度而形成的。高压区和低压区在翼尖相互作用,这种相互作用产生尾随机翼下游的涡流。

绘制和比较压力系数

链接:https://pan.quark.cn/s/434d92466dea

以上视频摘要:

  1. 在 Z = -.2 处创建线

  2. X1 = .1155, X2 = .73038

  3. 在 Z = -.2 处创建平面

  4. 在 Z = -.2 处创建折线

  5. 边界交点:机翼表面和平面在 Z = -.2

  6. 为 y/b = .2 创建 x/L 的表达式

  7. 右键单击 → 新建表达式

  8. 为 x/L 创建变量

  9. 右键单击 → 新变量

  10. 从表达式 → 选择表达式

  11. 创建图表

  12. 数据系列 → 来源 → 折线 2

  13. X 轴 → 变量 → x/L 变量

  14. Y轴→变量→压力系数

  15. 反转轴

  16. 导入实验数据

  17. 新系列 → 来自文件

  18. 将线型更改为符号

可视化涡度

下面是机翼产生的涡度的一些图像。第一张图像显示了翼尖处的涡度,并且在机翼后面的尾流区域中清楚地显示了水平面。该图像是在超过一百万个网格的非常精细的网格上生成的。第二张图片是在不太精细的网格上生成的(清晰是因为在涡度颜色中看到的粗糙度),但这张图片也显示了 0.001 级别的 Q 标准,因此我们可以看到机翼上存在的涡度。您可以将翼尖的大涡量区域与机翼表面相对较小的涡量区域进行比较。同样,您还可以在靠近尖端的后缘看到机翼后面的尾流区域中存在的涡度。

压力等值线动画

下面是对称平面上压力等值线的视频。我们沿着机翼的跨度移动这些压力等值线,看看它们是如何变化的。如果您想了解有关创建与此类似的动画的更多信息

链接:https://pan.quark.cn/s/6d59ae25e122

验证与确认 - 第 8 课

我们通过观察质量守恒并将我们的结果与 NASA 提供的 CFD 进行比较来验证我们的结果。然后,我们通过将不同展向距离的压力系数图与可用的实验数据进行比较来验证我们的结果。

Verification

质量守恒

我们检查质量守恒和边界条件。我们可以通过在通量下进入 Fluent 并选择质量流量来检查质量守恒。

为了满足质量守恒,我们期望质量流量为 0。此处的净质量流量小得可以忽略不计,因此质量守恒。

网格比较

我们现在将原始粗网格的结果与更细化的网格进行比较。细化后的网格有 900901 个单元。前缘和后缘附近的尺寸分别减小到 5e-3 英尺和 7.5e-3 英尺。机翼中间顶部和底部的面尺寸为 0.01 英尺。机翼上的压力分布如下所示。

与 NASA 的压力比较

我们可以定性地比较 Fluent(右)和 NASA 的压力系数等高线。我们的网格在远离机翼的地方稍微不够精致,对称平面上的压力轮廓很明显。

与 NASA CFD 的比较

我们将阻力系数和升力系数与 NASA 的 WIND 模拟进行比较

对于细化网格 2,网格从粗相关中心更改为中等相关中心,前缘面和后缘面单元尺寸进一步细化。顶部机翼表面的中间面和底部机翼表面的尺寸也得到了改进。影响体的大小更改为 0.0075 英尺。

注意:您可以通过使用 Sutherland 模型考虑空气粘度随温度的变化来改进结果。

验证

我们通过将 Fluent 数据与 Onera M6 机翼的实验数据进行比较来验证我们的模拟结果。我们绘制了机翼不同展向位置的压力系数并比较了结果。在这里,我们绘制了展向位置 y/b = .44、.2 和 .65 的压力系数。我们看到,如果我们继续沿翼展方向绘制压力系数,由于远离对称平面的 3 维效应,结果会变得不太准确。在我们的图中,我们有第一个粗网格和我们更精细网格的结果,与 NASA 的 CFD 和实验结果相比。

参考

比较数据来自 NASA 的格伦研究中心验证档案:

  1. Slater, John W. "ONERA M6 Wing Study #1." ONERA M6 Wing. NPARC, n.d. Web.

NASA实验数据

链接:https://pan.quark.cn/s/66d920c14984


免责声明:本文系网络转载或改编,未找到原创作者,版权归原作者所有。如涉及版权,请联系删

武汉格发信息技术有限公司,格发许可优化管理系统可以帮你评估贵公司软件许可的真实需求,再低成本合规性管理软件许可,帮助贵司提高软件投资回报率,为软件采购、使用提供科学决策依据。支持的软件有: CAD,CAE,PDM,PLM,Catia,Ugnx, AutoCAD, Pro/E, Solidworks ,Hyperworks, Protel,CAXA,OpenWorks LandMark,MATLAB,Enovia,Winchill,TeamCenter,MathCAD,Ansys, Abaqus,ls-dyna, Fluent, MSC,Bentley,License,UG,ug,catia,Dassault Systèmes,AutoDesk,Altair,autocad,PTC,SolidWorks,Ansys,Siemens PLM Software,Paradigm,Mathworks,Borland,AVEVA,ESRI,hP,Solibri,Progman,Leica,Cadence,IBM,SIMULIA,Citrix,Sybase,Schlumberger,MSC Products...

相关文章
技术文档
QR Code
微信扫一扫,欢迎咨询~
customer

online

联系我们
武汉格发信息技术有限公司
湖北省武汉市经开区科技园西路6号103孵化器
电话:155-2731-8020 座机:027-59821821
邮件:tanzw@gofarlic.com
Copyright © 2023 Gofarsoft Co.,Ltd. 保留所有权利
遇到许可问题?该如何解决!?
评估许可证实际采购量? 
不清楚软件许可证使用数据? 
收到软件厂商律师函!?  
想要少购买点许可证,节省费用? 
收到软件厂商侵权通告!?  
有正版license,但许可证不够用,需要新购? 
联系方式 board-phone 155-2731-8020
close1
预留信息,一起解决您的问题
* 姓名:
* 手机:

* 公司名称:

姓名不为空

姓名不为空

姓名不为空
手机不正确

手机不正确

手机不正确
公司不为空

公司不为空

公司不为空