混凝土塑性损伤模型是基于拉、压各向同性塑性的连续线性损伤模型,用于描述混凝土的非线性行为。采用通用有限元分析软件ABAQUS/Standard分析,在此软件中的混凝土塑性损伤模型具有以下特点:
1. 适于各种单元(梁、杆、壳、实体)的混凝土或其他类似的脆性材料的模拟,用于壳元时,沿厚度方向的积分点数达到9个通常可以保证计算的准确性;
2. 虽然它主要致力于钢筋混凝土结构的分析,但可以用于素混凝土;
3. 可用“rebar”选项模拟混凝土中的钢筋;
4. 适于低围压下混凝土单调、往复和动力荷载下的计算;
5. 是非相关多轴硬化塑性和各向同性线性损伤模型的综合,用于描述由于混凝土断裂引 起的不可恢复的损伤;
6. 允许循环加载过程中用户对于刚度恢复进行控制;
7. 可定义与应变速率的相关性;
8. 应用粘性系数修正,可提高软化阶段的收敛效率;
9. 要求材料的弹性行为应为各向同性且为线性的。
本节简要介绍构成混凝土塑性损伤模型的线性损伤模型与塑性模型(Hibbitt等,2003)。
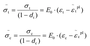
混凝土塑性损伤模型包括混凝土受拉开裂和压碎两种破坏机制,分别由等效拉压塑性应变决定。单轴应力-应变关系转变为应力与塑性应变的曲线。当混凝土自应力-应变关系曲线软化段上一点卸载,其弹性模量因混凝土的损伤而有退化,退化程度由两个损伤系数dt、dc来衡量,它们是塑性应变、温度等的函数。

若E0代表材料的初始弹性模量,混凝土的单轴应力-应变关系可以表示为

定义有效拉应力和压应力,并以此作为屈服面和破坏面的确定依据:

在单轴往复荷载作用下,弹性模量的退化与标量刚度退化系数d有关:

d与损伤系数dt、dc和刚度恢复系数st、sc有关,其中:

ωt、ωc为材料性质的权,控制往复荷载作用下材料抗拉与抗压刚度的恢复。

在三维多轴受力情况下,应力-应变关系用以下标量弹性损伤方程来表示:

D0 el为初始弹性矩阵。
刚度退化系数d对于多轴应力的情况,应采用以下的替换计算

σ(i=1,2,3)为主应力,<x>=0.5(|x|+x)。
ABAQUS里*CONCRETE COMPRESSION HARDENING模块定义混凝土材料受压时的应力-塑性应变关系。*CONCRETE TENSION STIFFENING模块定义混凝土材料拉伸断裂软化行为,可选择定义开裂后的应力-应变关系或根据断裂能量准则进行定义。研究表明,尺寸效应与虚拟网格尺寸敏感度一样,会出现在因应变软化而破坏的所有结构,包括由于压缩或剪切造成的混凝土破坏。以往在含有应变软化本构模型的有限元分析中,网格尺寸敏感度问题在文献中很少报道,主要因为很少利用应变空间的塑性公式或损伤力学公式来 进行有限元计算。定义开裂后的应力-应变关系,对于素混凝土计算应考虑网格尺寸的影响, 特别是对于局部裂缝开展的情况,随着网格的细化计算结果并不收敛于唯一值,因为网格的细化不能使新的裂缝产生,只是使裂缝的开展更细窄。采用弥散裂纹方式(即假设裂纹在某一区域内均匀分布)则不需考虑网络尺寸的影响。由于单位长度裂缝局部造成的能量耗散是一种与单元尺寸无关的材料性质,基于这个概念,能正确地模拟在拉伸断裂中的应变软化,并解决网格尺寸敏感度的问题。
免责声明:本文系网络转载或改编,未找到原创作者,版权归原作者所有。如涉及版权,请联系删
武汉格发信息技术有限公司,格发许可优化管理系统可以帮你评估贵公司软件许可的真实需求,再低成本合规性管理软件许可,帮助贵司提高软件投资回报率,为软件采购、使用提供科学决策依据。支持的软件有: CAD,CAE,PDM,PLM,Catia,Ugnx, AutoCAD, Pro/E, Solidworks ,Hyperworks, Protel,CAXA,OpenWorks LandMark,MATLAB,Enovia,Winchill,TeamCenter,MathCAD,Ansys, Abaqus,ls-dyna, Fluent, MSC,Bentley,License,UG,ug,catia,Dassault Systèmes,AutoDesk,Altair,autocad,PTC,SolidWorks,Ansys,Siemens PLM Software,Paradigm,Mathworks,Borland,AVEVA,ESRI,hP,Solibri,Progman,Leica,Cadence,IBM,SIMULIA,Citrix,Sybase,Schlumberger,MSC Products...