本篇回答一位朋友提出来的问题,说明如何在ANSYS WOKRBENCH中施加分段函数激励。
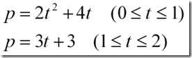
假设分段的分布载荷如下

该载荷施加在一长方体的顶面上,作为分布力系施加。
下面说明操作方法。
1. 创建一个瞬态动力学分析系统

2.创建一长方体,尺寸任意。

3.划分网格

4.分析设置

设置两个时间步,
第一步终止时间为1秒,打开自动时间步长,通过载荷步来定义载荷子步,初始子步10步,最小5步,最多20步。
再定义第二步如下

其含义是
第2步终止时间为2秒,打开自动时间步长,通过载荷步来定义载荷子步,初始子步10步,最小5步,最多20步.
5.固定左端

6.在上面施加分布载荷1
首先定义第一个载荷步内的函数载荷


接着休眠期第二段(1-2秒内的部分)

得到结果如下

7.在上面施加分布载荷2


接着休眠期第1段(0-1秒内的部分)

得到结果如下

这就可以了。
至于后面的求解就不再赘述了。
来源:宋博士的博客,版权归作者所有。
免责声明:本文系网络转载或改编,未找到原创作者,版权归原作者所有。如涉及版权,请联系删武汉格发信息技术有限公司,格发许可优化管理系统可以帮你评估贵公司软件许可的真实需求,再低成本合规性管理软件许可,帮助贵司提高软件投资回报率,为软件采购、使用提供科学决策依据。支持的软件有: CAD,CAE,PDM,PLM,Catia,Ugnx, AutoCAD, Pro/E, Solidworks ,Hyperworks, Protel,CAXA,OpenWorks LandMark,MATLAB,Enovia,Winchill,TeamCenter,MathCAD,Ansys, Abaqus,ls-dyna, Fluent, MSC,Bentley,License,UG,ug,catia,Dassault Systèmes,AutoDesk,Altair,autocad,PTC,SolidWorks,Ansys,Siemens PLM Software,Paradigm,Mathworks,Borland,AVEVA,ESRI,hP,Solibri,Progman,Leica,Cadence,IBM,SIMULIA,Citrix,Sybase,Schlumberger,MSC Products...