许可优化
许可优化
产品
产品
解决方案
解决方案
服务支持
服务支持
关于
关于
软件库
当前位置:服务支持 >  软件文章 >  一次性弄懂:低通、高通、带通、带阻滤波器

一次性弄懂:低通、高通、带通、带阻滤波器

阅读数 1717
点赞 56
article_banner

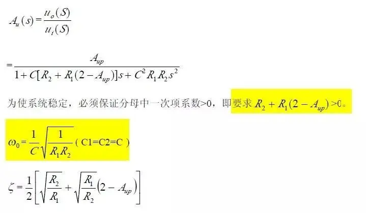
1 二阶压控低通滤波器

二阶压控低通滤波器电路如图所示,由R1、C1 及R2、C2 分别构成两个一阶低通滤波器,但C1 接输出端,引入电压正反馈,形成压控滤波器。

(1) 传递函数

(2) 频率特性

可见该低通滤波器特点是阻尼系数ζ 由电阻R1、R2,C1、C2 的比决定;而固有频率ω0与R1、R2、C1、C2 具体数值有关,即ω0与ζ 独立可调,互不影响。

(3) 参数选择

为方便参数匹配,考虑到标称电容种类较少,一般选择C1=C2=C。通过选择不同的R1、R2 满足特定的固有频率ω0 、ζ 。

2单位增益二阶压控低通滤波器

对于二阶压控低通滤波器来说,当通带放大倍数Aup =1(单位增益)时,图所示电路变为图所示,其中RF=R1+R2。

(1) 基本关系

(4) 参数选择

在固有频率ω0 、阻尼系数ζ 已知情况下,设计步骤如下:

3二阶低通滤波器

(1) 传递函数

(2) 频率特性

4无限增益多路反馈低通滤波器

(1) 传递函数

(2) 频率特性

还有其他问题的话可以关注微信公众号:凡亿PCB

一起来探讨吧!!

以上来源于:头条电子发烧友网

往期推荐:

  • 如何在AD原理图中查找相应的元器件
  • 推荐 PCB布局思路分析 让你的布局从此简单!
  • PCB设计基本流程 & 布局布线基本原则和常识
  • 在Altium designer 中如何快速掌握绕等长的方式和方法呢?
  • 最齐全差分处理方法详解与信号分析
  • 电路板的工作原理 - 电路板为什么是绿色的_电路板上的元件介绍图


武汉格发信息技术有限公司,格发许可优化管理系统可以帮你评估贵公司软件许可的真实需求,再低成本合规性管理软件许可,帮助贵司提高软件投资回报率,为软件采购、使用提供科学决策依据。支持的软件有: CAD,CAE,PDM,PLM,Catia,Ugnx, AutoCAD, Pro/E, Solidworks ,Hyperworks, Protel,CAXA,OpenWorks LandMark,MATLAB,Enovia,Winchill,TeamCenter,MathCAD,Ansys, Abaqus,ls-dyna, Fluent, MSC,Bentley,License,UG,ug,catia,Dassault Systèmes,AutoDesk,Altair,autocad,PTC,SolidWorks,Ansys,Siemens PLM Software,Paradigm,Mathworks,Borland,AVEVA,ESRI,hP,Solibri,Progman,Leica,Cadence,IBM,SIMULIA,Citrix,Sybase,Schlumberger,MSC Products...

相关文章
QR Code
微信扫一扫,欢迎咨询~
customer

online

联系我们
武汉格发信息技术有限公司
湖北省武汉市经开区科技园西路6号103孵化器
电话:155-2731-8020 座机:027-59821821
邮件:tanzw@gofarlic.com
Copyright © 2023 Gofarsoft Co.,Ltd. 保留所有权利
遇到许可问题?该如何解决!?
评估许可证实际采购量? 
不清楚软件许可证使用数据? 
收到软件厂商律师函!?  
想要少购买点许可证,节省费用? 
收到软件厂商侵权通告!?  
有正版license,但许可证不够用,需要新购? 
联系方式 board-phone 155-2731-8020
close1
预留信息,一起解决您的问题
* 姓名:
* 手机:

* 公司名称:

姓名不为空

姓名不为空

姓名不为空
手机不正确

手机不正确

手机不正确
公司不为空

公司不为空

公司不为空