1992年Johson和Holmquist首次提出用于脆性材料的JH1模型,随后于1994年提出在JH1基础上改进型的JH2模型。JH2模型包括应变率、静水压力以及与损伤相关的强度模型和多项式形式的状态方程。它是在JH1模型基础上,加入强度的连续损伤劣化效应来描述材料的梯度破坏过程。加载过程中材料首先表现为弹性性质,直到应力水平达到材料的屈服极限,材料开始发生损伤。随着损伤的逐渐积累,脆性材料发生劣化,最终完全破碎。
JH2强度模型是将材料的等效应力表示成静水压力的幂函数形式并且与应变率和损伤因子D相关,其中定义的归一化强度模型为

当材料未发生损伤D=0时,归一化等效应力可以表示为

当材料完全破碎D=1时,归一化等效应力为

p*为归一化静水压力

由裂纹导致的损伤

其中

裂纹产生前静水压力为

裂纹产生后需要加入压力增量ΔP

其中

Abaqus自带的材料模型中并没有JH2本构,但是其提供了内置的子程序以供调用。使用内置子程序需要以ABQ_JH2_作为前缀,比如ABQ_JH2_GLASS。JH2的材料设置时,一共由8个状态变量,第8个状态变量控制网格删除。各变量的含义如下。

材料属性的含义如下

下图为通过JH2本构进行的相关的冲击模拟

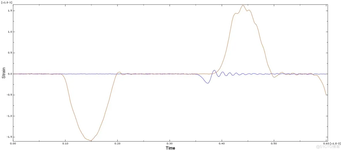
此外,本贴根据JH2本构的相关理论,编写了JH2本构的VUMAT子程序,并对脆性材料的SHPB试验进行了模拟,以下是相关的结果。
试验件失效示意图

入射和透射杆上的应变响应

免责声明:本文系网络转载或改编,未找到原创作者,版权归原作者所有。如涉及版权,请联系删
武汉格发信息技术有限公司,格发许可优化管理系统可以帮你评估贵公司软件许可的真实需求,再低成本合规性管理软件许可,帮助贵司提高软件投资回报率,为软件采购、使用提供科学决策依据。支持的软件有: CAD,CAE,PDM,PLM,Catia,Ugnx, AutoCAD, Pro/E, Solidworks ,Hyperworks, Protel,CAXA,OpenWorks LandMark,MATLAB,Enovia,Winchill,TeamCenter,MathCAD,Ansys, Abaqus,ls-dyna, Fluent, MSC,Bentley,License,UG,ug,catia,Dassault Systèmes,AutoDesk,Altair,autocad,PTC,SolidWorks,Ansys,Siemens PLM Software,Paradigm,Mathworks,Borland,AVEVA,ESRI,hP,Solibri,Progman,Leica,Cadence,IBM,SIMULIA,Citrix,Sybase,Schlumberger,MSC Products...